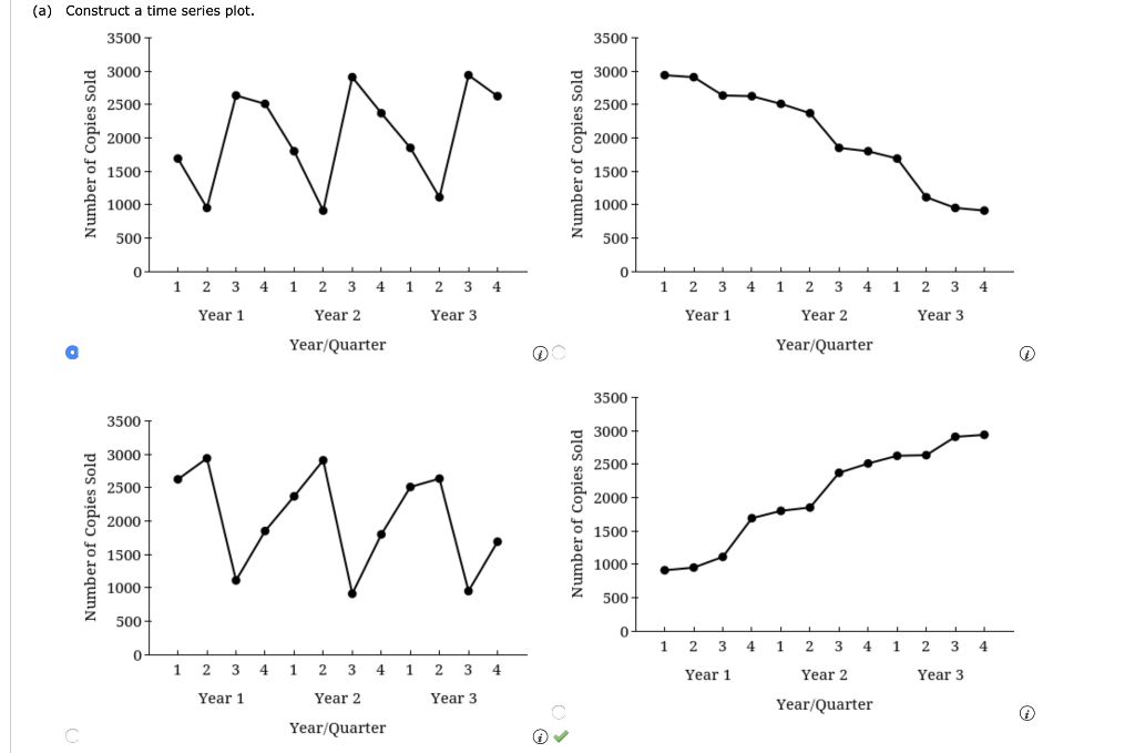
Question: undefined A statistical program is recommended. The quarterly sales data (number of copies sold) for a college textbook over the past three years follow. Quarter


undefined
Step by Step Solution
There are 3 Steps involved in it
1 Expert Approved Answer
Step: 1 Unlock
Question Has Been Solved by an Expert!
Get step-by-step solutions from verified subject matter experts
Step: 2 Unlock
Step: 3 Unlock
