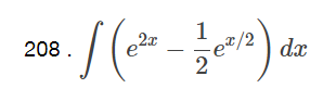
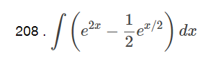
Question: Use basic integration formulas to compute the following antiderivatives or definite integrals. 208 e

Use basic integration formulas to compute the following antiderivatives or definite integrals.

208 e
Step by Step Solution
There are 3 Steps involved in it
Get step-by-step solutions from verified subject matter experts
