Question: Use C++ to code a program that solves a a linear system of equations using Gauss-Seidel, Jacobi, and Successive over relaxation(SOR) methods. I was able
Use C++ to code a program that solves a a linear system of equations using Gauss-Seidel, Jacobi, and Successive over relaxation(SOR) methods.
I was able to complete the Gauss/Jacobi methods. However, I am stuck on the SOR method. Below is code that I have thus far. SOR method is needed for case 3. Please help.
Please follow the same pattern used for Guass/Jacobi.
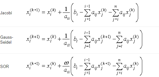
Here is the formulas for all 3 methods:

#include
#include
#include
using namespace std;
//JACOBI
void jacobi ()
{
int i, j, m, n, l;
float x[10], a[10][10], b[10], c[10];
cout
cin >> n;
cout
cin >> l;
cout
for (i = 0; i
{
cin >> b[i];
}
cout
for (i = 0; i
{
x[i] = 0;
for (j = 0; j
{
cin >> a[i][j];
}
}
m = 1;
line:
for (i = 0; i
{
c[i] = b[i];
for (j = 0; j
{
if (i != j)
{
c[i] = c[i] - a[i][j] * x[j];
}
}
}
for (i = 0; i
{
x[i] = c[i] / a[i][i];
}
m++;
if (m
{
goto line;
}
else
{
cout
for (i = 0; i
{
cout
}
}
}
//GAUSS-SAU
void gauss ()
{
int y, z, i, j, m, n, l;
float x[10], a[10][10], b[10], c;
cout
cin >> n;
cout
cin >> l;
cout
for (i = 0; i
{
cin >> b[i];
}
cout
for (i = 0; i
{
x[i] = 0;
for (j = 0; j
{
cin >> a[i][j];
}
}
m = 1;
line:
for (i = 0; i
{
c = b[i];
for (j = 0; j
{
if (i != j)
{
c = c - a[i][j] * x[j];
}
}
x[i] = c / a[i][i];
}
m++;
if (m
{
goto line;
}
else
{
cout
for (i = 0; i
{
cout
}
}
}
int
main ()
{
int i, j, m, n, l, y, z;
float x[10], a[10][10], b[10], c[10];
int input;
int stopApp;
cout
cout
cout
cout
cout
cout
cout
cout
cout
cout
cout
cout
cout
cout
cout
cout
cout
cout
cout
cout
cout
bool valid;
do
{
//again:
cout
cout
cout
cout
cout
cin >> input;
switch (input)
{
case 1:
jacobi ();
break;
case 2:
gauss ();
break;
case 3:
break;
case 4:
cout
cout
cout
exit (0);
break;
default:
cout
break;
}
}
while (!valid);
}
i-1 X(k.i) = X(k) +_ | b,- av xik)-@yyk) Jacobi i-1 Gauss- Seidel -1 i-1 i-1 X(k.i) = X(k) +_ | b,- av xik)-@yyk) Jacobi i-1 Gauss- Seidel -1 i-1
Step by Step Solution
There are 3 Steps involved in it
Get step-by-step solutions from verified subject matter experts
