Question: Use linear approximation, i.e. the tangent line, to approximate 1 0.102 as follows: Let f(ac) = and find the equation of the tangent line to















![tangent line to the parametric curve { :] = 3 cos (t)](https://s3.amazonaws.com/si.experts.images/answers/2024/06/667b191bd4d07_387667b191ba69ba.jpg)



















![= [j m/ sec vertical velocity = C] m/sec For the curve](https://s3.amazonaws.com/si.experts.images/answers/2024/06/667b192685f75_398667b19265726b.jpg)












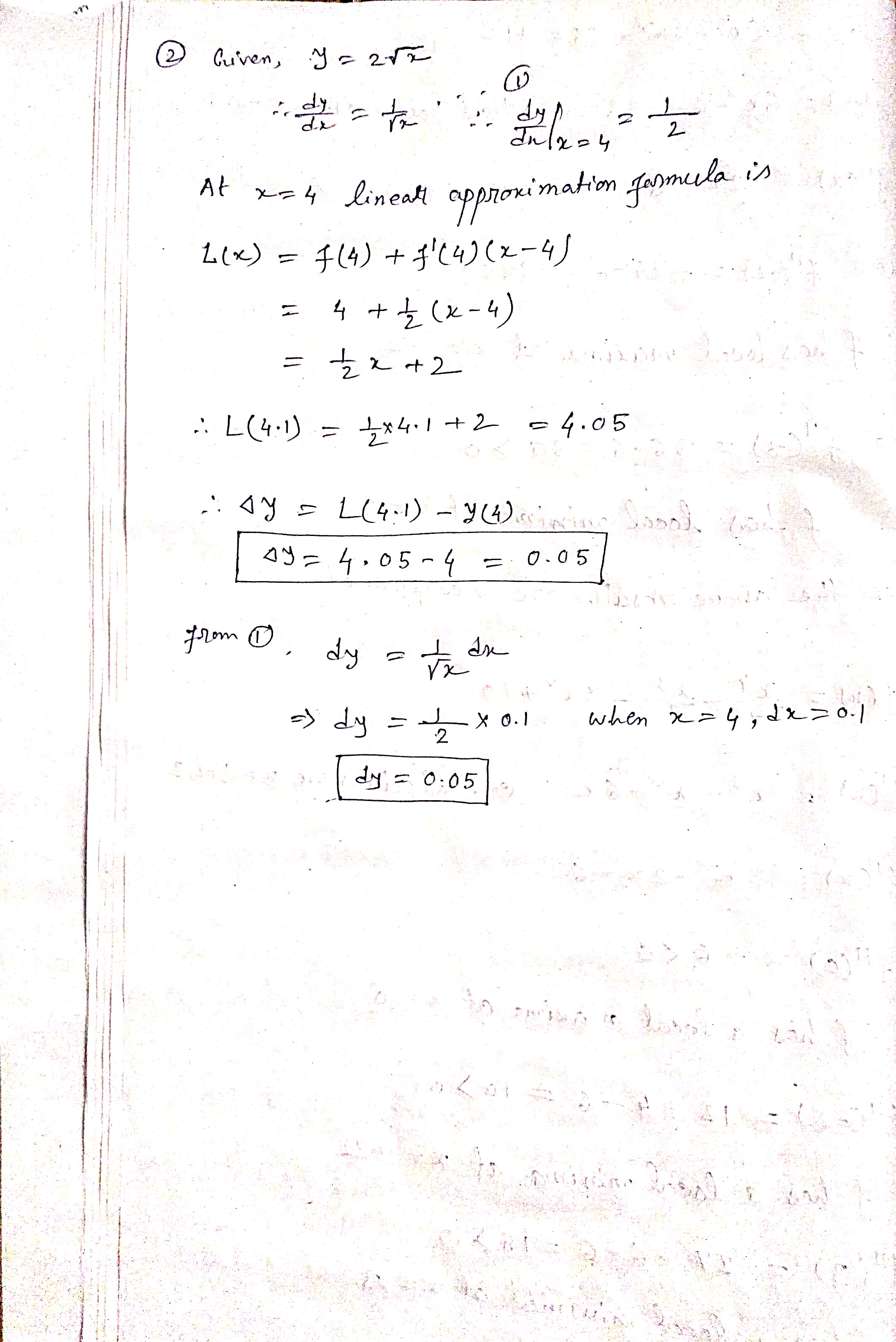
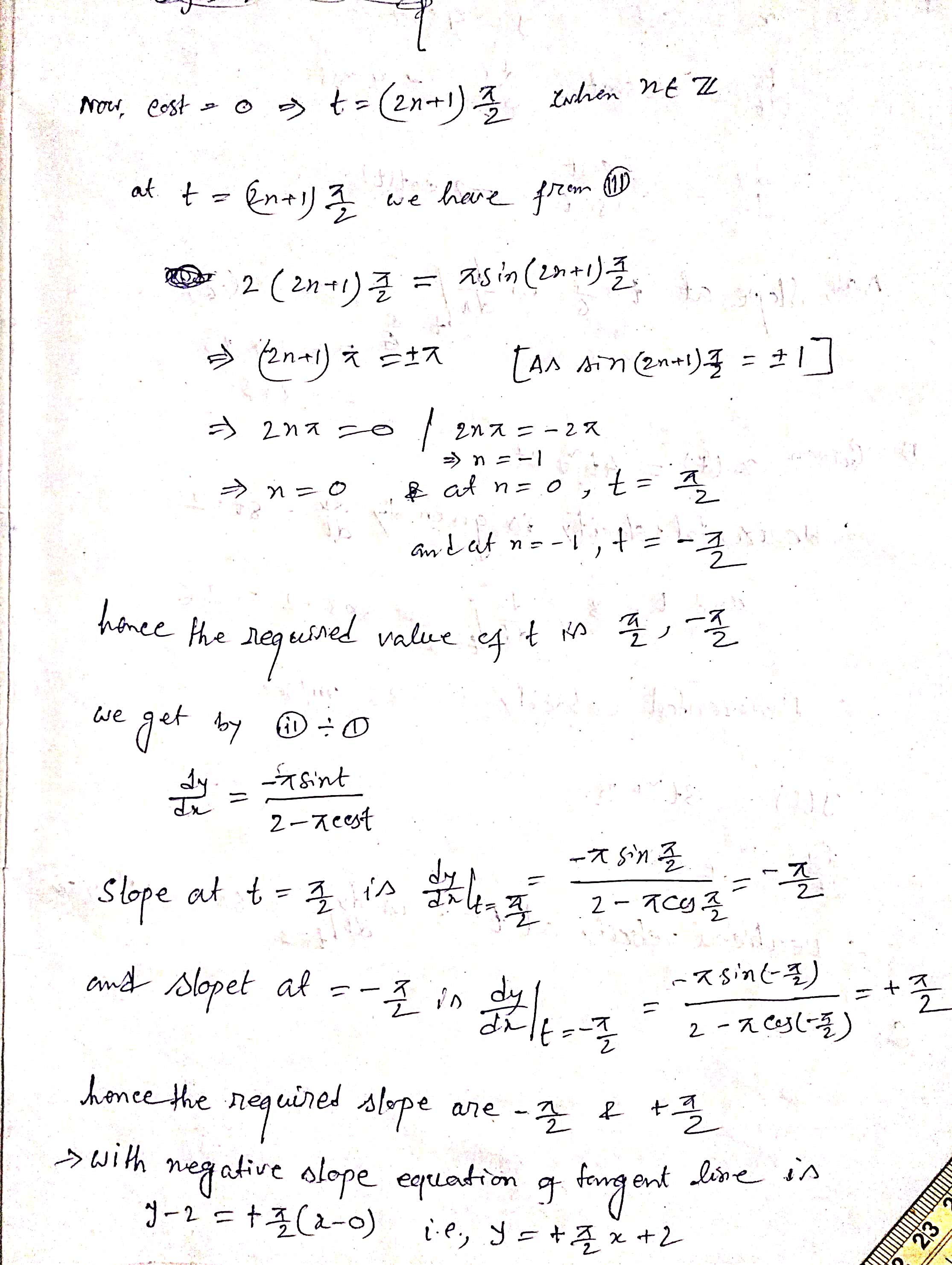
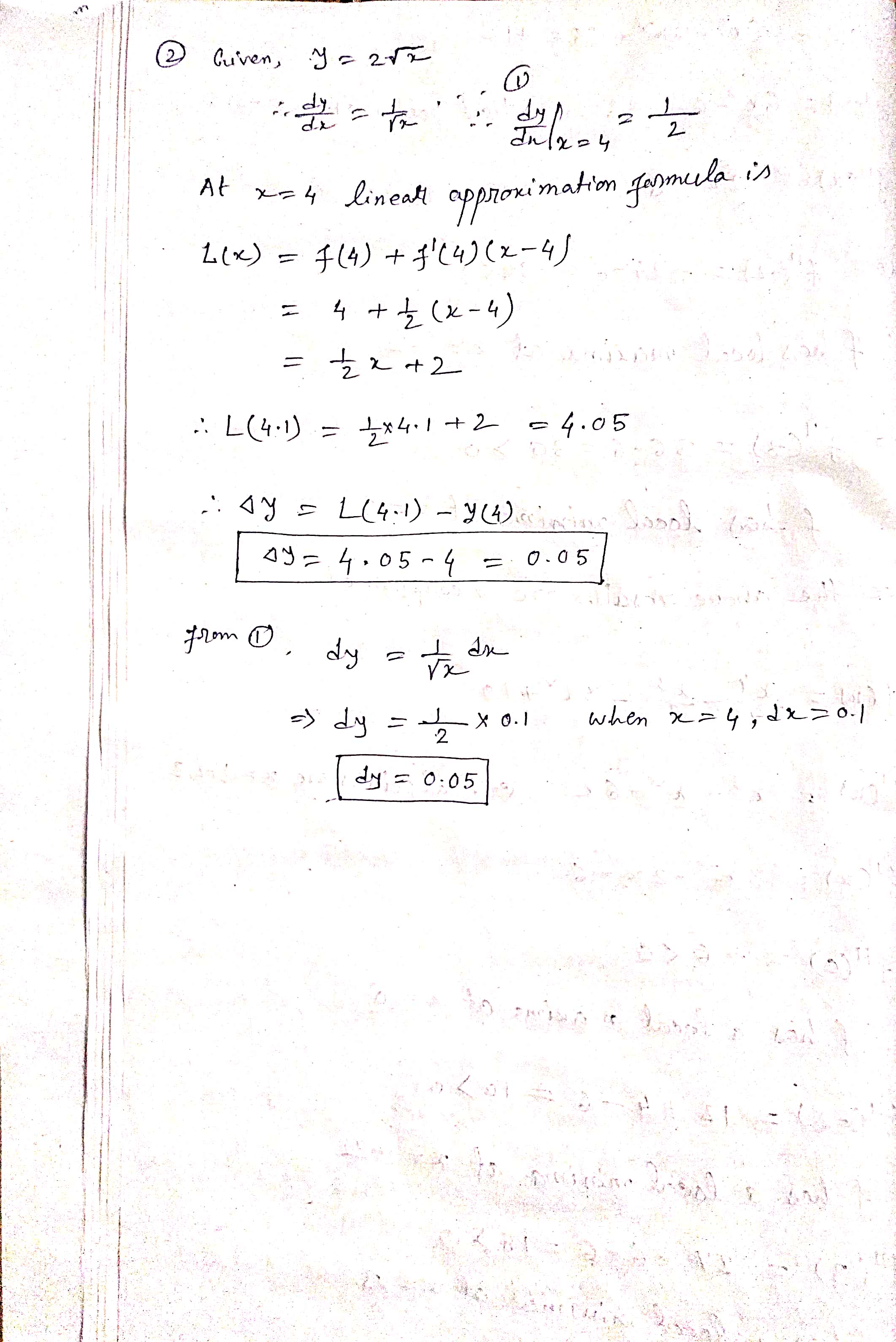
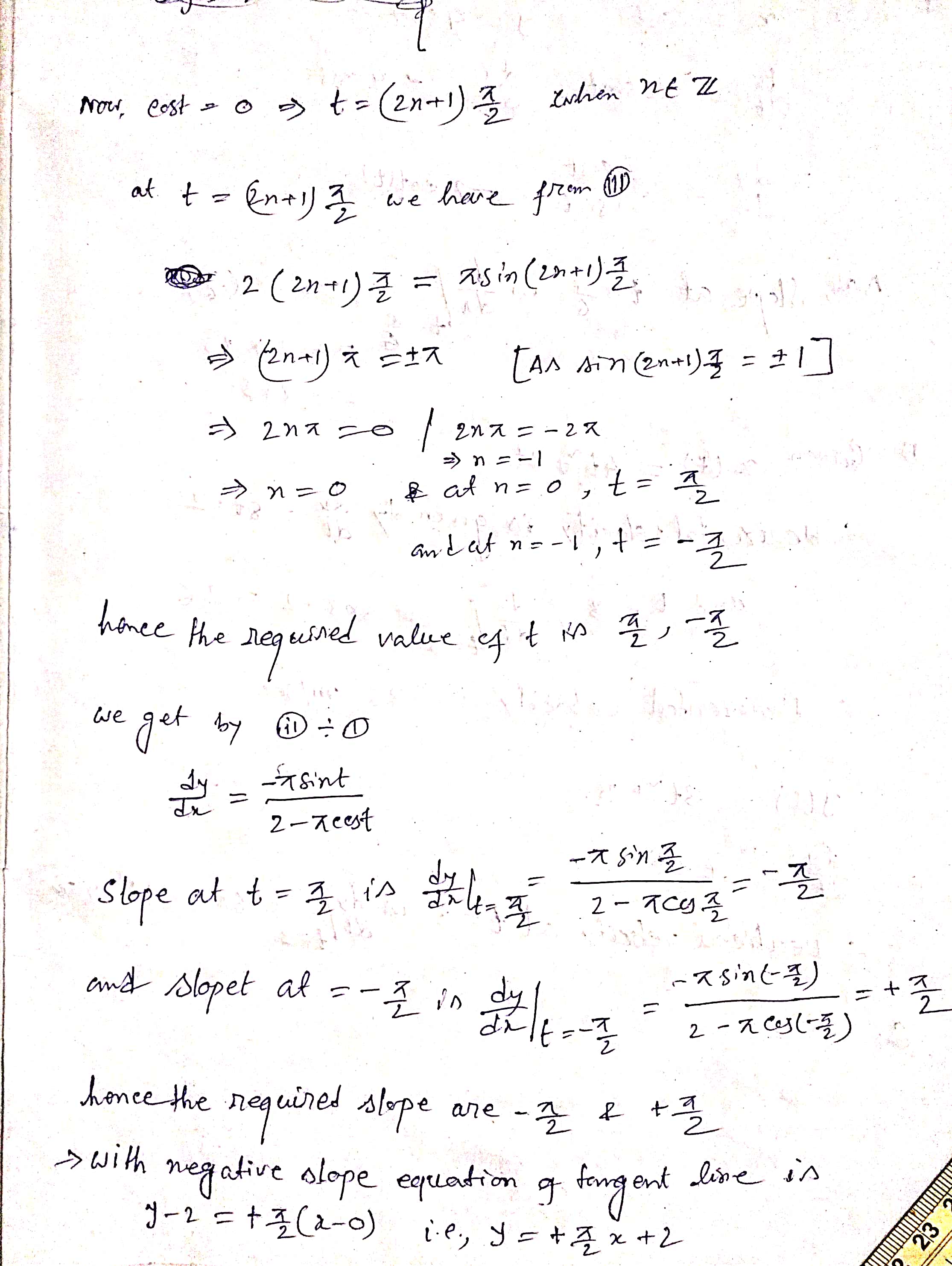
Use linear approximation, i.e. the tangent line, to approximate 1 0.102 as follows: Let f(ac) = and find the equation of the tangent line to f(x) at a "nice" point near 0.102. Then use this to approximate 1 0.102 26 255 X1 1 The linear approximation at a: = O to is A + Bzc where A is: f v3a: d' x/E and where B is: T X Let y = 2vx. Find the change in y, Ay when x = 4 and Ax = 0.1 4.1 X Find the differential dy when x = 4 and dx = 0.1 0.04969134 X\fLet x (t) = 5 cos(t) ELLIPSE and y(t) = 3 sin(t) N At t = 4, -4 -2 x (4) = -2 y ( 4) = dx dt It= 4= dy dt It=4= dy dac It=4 = tangent slope =x = 2 cos(t) Find the slope of the tangent line to the parametric curve y = 1 sin(t) at the pointcv=t3+2t t2 + 3t at the point t = 3 y : Find the slope of the tangent line to the parametric curve { :] = 3 cos (t) Find the exact slope of the tangent line to the parametric curve y = 7 sin(t) at the point where t = Give an exact answer, do not use a decimal.m=t2+1 where the tangent y = t2 13 Find the exact x-coordinate of the point on the curve parametrized by { line has slope 18. Give an exact answer, do not use a decimal. Find the coordinates of the point on the curve given by { m=t3+4t y=t2+2t where the tangent line is horizontal. The parametric curve defined by m:2t7r-sin(t) y=27r-cos(t) is shown above. The curve intersects itself at the point (0, 2). Find the two distinct values of t that correspond to the point (0, 2). Enter them as a comma-separated list. Find the slopes of the tangent lines at the point (0, 2). Write the equations of the tangent lines. List the line with negative slope first. F F x = 2 cos (t) The slope of the line tangent to the parametric curve given by y = 4 sin(t) at the point where t is: slope =The position of an object in the my-plane (relative to the origin, with distance measured in meters) at time t seconds is given by the parametric equations: 23(22) = 4:52 + 2t y(t) = 3:52 + 5 At the moment when t = 3, find the object's: horizontal velocity = [j m/ sec vertical velocity = C] m/sec For the curve defined by the parametric equations 2:: 5+sect y: 2+3ta.nt Find the first derivative: dig-i: d53 Find the second derivative: d2\" S (13:2 2 Given, y = 25x dy d.x At x= 4 lineat approximation formula is L (x ) = J ( 4 ) + J'( 4) ( x - 4) = 4 +5 ( x - 4 ) = -2 2 +2 : L( 4.1 ) = 4,x 4.1 + 2 - 4.05 : Ay = L( 4 . 1 ) - yul coming doadd 4y = 4.05 -4 = 0.05 from 0, dy = max - ) dy = XO .1. when x = 4 , dix = 0. 1 dy = 0:05\fIs Given 2 (t ) = 5 Cost y ( t ) = 3sint de = - 5 sint IF = B cost dy 3 cost In I - 5 sint = = 2 cotte ) - At =4 X ( 4 ) = 5 Cos 4 = 4 . 98 78 2025/29 y ( 4 ) = 3 sin 4 = 0 . 209 269 42123 = - 5 Sing c -0 848 782025/29 - 0. 34 8 7 8 2 3 6 872- BOS4 = 2 : 9 92 69 215077 - 3 coty = - 8 . 58039975 402 14 = 4. A Given x = 2cast y = isint= sint ax = .= -2sint If = cost dy cast - 2 sint = -2 cotly ". Tangent slope at I is dy = - - cot + = 7/3 . = -2x 75 . Given = - 0 .2 8 867 (And ) dre IF = 36 + 2 IF = 2+ + 4 3 dy - 2+ + $3 3 + + 2 Tangent slope at t = - 3 in 2 ( - 3)+( 3 ) = -3 3 x9 + 2 31 Given, zet 71 y = t-t = 27 dy 1 = 24- 1 dy 24 - 1 2t Now, when Slope 21= 181 eve have 2t - 1 2+ = 18 =) 1 - 27 = 18 =-17 - t = -1 34 Now, at t= = [Zy we have , 2zu) = Bul + 1 1157 idence the required n 1156 coordinate is 11 5. 7 emd y ( bu ) = (39) + 3 3 11:56 1+ 34 1.156 4 35 1156I Given x= 13+4 + dy = 3+ + 4 If = 2t + 2 dy = 2 (t + 1 ) 3t + 4 Tangent line is horizontal =1 dy = 0 Lie slope in From 1 when dy - we have 2 ( ( + 1 ) = 0 3t 49 2( 2 + 1 ) = 0 t= -1 Now at f = - 1 we have x41 = 1+4 8 y ( ) = 1# 2 =8-3 =_a- 1 hence required x = $ 3 I Guilven x = 24 - z sint dr = 2 - xcost . . . D Y = 2 - x cost The carve intersects itself It =tasint . at t ( 0 , 2 ) me, K = 6 J = 2 Now, when x = 0 & y = 2 we have 2t - ashe= 0 2 - 7cost = 2 -) 2t = asint ...D => cast = 0 t = (2n+1) , :nez Now, att= (2n + 1 ) I i've herve 4textyoNow east - o t= ( 2ntl) 2 when ne at t = Enti) 7 we have from (10 2 ( 2n+ 1) = 75 in ( 2 0 +1 )-2 > ( 2n+1) i =+7 TAs Ain ( 2n+ 1 ) ] = $1 -> 2n7 20 / 2 n 7 = - 27 3)n =-1 7 n = 0 Rat nzo , t=. honce the required value of t is ? we get by 1 : 0 - Isint 2 - xcest Slope at t = 7 is anlt - . 2 - TC9 2 and Slopet at = - 7 in . -
Step by Step Solution
There are 3 Steps involved in it
Get step-by-step solutions from verified subject matter experts
