Question: USE MS PROJECT 1. Project A Company specializes in developing and selling a wide range of high-quality scooters. Sales representatives report that there is a

USE MS PROJECT USE MS PROJECT 1. Project A Company specializes
USE MS PROJECT 1. Project A Company specializes
USE MS PROJECT 1. Project A Company specializes
USE MS PROJECT 1. Project A Company specializes
USE MS PROJECT 1. Project A Company specializes
USE MS PROJECT 1. Project A Company specializes
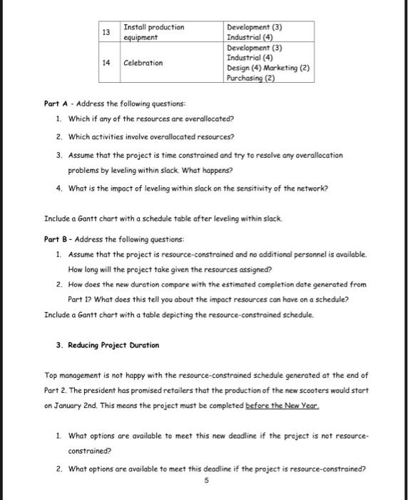
1. Project A Company specializes in developing and selling a wide range of high-quality scooters. Sales representatives report that there is a growing demand for racing scooters. The company's president is excited about the possibilities and predicts that one day these kinds of razor scooters will be featured in X-Game events. You are a member of a project team assigned to develop the new razor scooter code. Table 1 contains the information necessary to create a project schedule. For the purpose of this case assume the following: 1. The project begins January 1, 2023. 2. The following holidays are observed: January 1st, Memorial Day (last Monday in May). July 4th, Labor Day (first Monday in September), Thanksgiving Day (4th Thursday in November). December 25 and 26. 4. The project team work eight-hour days, Monday through Friday, Construct a network schedule for this project and answer the following questions: 1. When is the project estimated to complete? How long will the project take? 2. What is the critical path for the project? 3. Which activity has the greatest amount of slack? 4. How sensitive is the network? 5. Identify two sensible milestones and explain your choices. 6. Compare the advantages of displaying the schedule as a network versus a Gantt chart. Include the following printouts: A Gantt chart A network diagram highlighting the critical path. A table reporting ES. LS, EF, LF, and slack for each activity 2 1 2 3 2 4 2 w 3,4 Table 1: Activities in the project Activity Task Name Duration Predecessors The project Market analysis 25 days Product design 40 days Manufacturing study 20 days 5 Product design selection 10 days 6 Detailed marketing plans 15 days 5 7 Manufacturing process 30 days 5 Detailed product design 50 days Test prototype 10 days 10 Finalized product design 25 days Order components 7 days 10 12 Order production equipment 14 days 10 Install production 11 Finish-Start 25 days 13 equipment 12 Finish-Start 30 days 14 Celebration 6,13 8 5 9 8 7,9 11 25 days 1 day 2. Resources and costs The following personnel has been assigned to the project team 3 marketing specialists 4 design engineers 3 development engineers 4 industrial engineers 2 purchasing agents Use what you have found in Part A and the information contained in Tables 2 and 3 to assign resources and costs to the project schedule. 3 Table 2: Resource Costs Resource Marketing specialist Design engineer Development engineer Industrial engineer Purchasing agent $/Hour $80 $60 $80 $90 $50 1 5 Table 3: Resources necessary to perform tasks ID Task Name Resources Product development project 2 Market analysis Marketing (3) Design (1) Marketing (2) 3 Product design Design (3) Development (1) Industrial (1) 4 Manufacturing study Industrial (3) Development (2) Marketing (1) Design (4) Product design selection Development (2) Industrial (2) Purchasing (1) Detailed marketing plans Marketing (4) Design (1) 7 Manufacturing process Development (1) Industrial (4) Marketing (1) Detailed product design Design (4) Development (2) Industrial (1) Design (3) 9 Test prototype Development (2) Marketing (1) 10 Finalized product design Design (3) Development (2) Industrial (2) Order components Purchasing (2) 12 Order production equipment Purchasing (2) 6 8 11 13 Install production equipment Development (3) Industrial (4) Development (3) Industrial (4) Design (4) Marketing (2) Purchasing (2) 14 Celebration Part A - Address the following questions: 1. Which if any of the resources are overallocated? 2. Which activities involve overallocated resources? 3. Assume that the project is time constrained and try to resolve any overallocation problems by leveling within slock. What happens? 4. What is the impact of leveling within slack on the sensitivity of the network? Include a Gantt chart with a schedule table after leveling within slack Part B - Address the following questions: 1. Assume that the project is resource-constrained and no additional personnel is available. How long will the project take given the resources assigned? 2. How does the new duration compare with the estimated completion date generated from Part 1? What does this tell you about the impact resources can have on a schedule? Include a Gantt chart with a table depicting the resource-constrained schedule. 3. Reducing Project Duration Top management is not happy with the resource-constrained schedule generated at the end of Part 2. The president has promised retailers that the production of the new scooters would start on January 2nd. This means the project must be completed before the New Year. 1. What options are available to meet this new deadline if the project is not resource- constrained? 2. What options are available to meet this deadline if the project is resource-constrained? 5 The director of product development has managed to make the following personnel available to work on specific activities on the project. Since there is a shortage of personnel at the company, he requests that you only use additional manpower that will help meet the new deadline. The available personnel and impact on activity duration are presented in Table 4. Table 4: The available personnel and impact on activity duration Activity Additional Resource Revised Duration Estimate Design (1) Product design 25 days Development (1) Manufacturing study Industrial (1) 12 days Detailed marketing plan Marketing (1) 12 days Manufacturing process Industrial (1) 20 days Finalized product design Design (1) 20 days Development (1) Install production Industrial (1) equipment Development (1) 18 days Address the following questions 1 Which additional personnel assignments would you choose to complete the project within the original deadline at the cheapest cost? Explain your choices as well as the reasons for not choosing specific options Include a Gantt chart with a schedule table presenting the new schedule. 4. Status Reports As of July 25, 2023, Table 5 summarizes the information regarding activities accomplished to date. The president has requested a written status report. 1. Your status report should include a table containing the BCWS, BCWP, ACWP, SD, CD, SPI and CPI for each activity and the Critical Ratio for the whole project. The report should also address the following questions: a. How is the project progressing in terms of cost and schedule? b. What activities have gone well? What activities have not gone well? c. What is the forecasted cost at completion? d. What is the estimated date of completion? Present the above information in a form for consideration by top management. Date Date Table 5: The Status of the Project on July 25, 2023. Start Finish Actual Remaining Activity Duration Duration Market analysis Jan 2 Feb 4 24 days 0 Product design Feb 7 March 20 30 days 0 Manufacturing study April 2 April 15 10 days 0 Product design selection April 16 April 29 10 days Detailed marketing plans Manufacturing process July 14 10 days 10 days Detailed product design April 30 July 24 60 days Test prototype July 25 2 days 8 days O 7

Step by Step Solution

There are 3 Steps involved in it

1 Expert Approved Answer
Step: 1 Unlock blur-text-image
Question Has Been Solved by an Expert!

Get step-by-step solutions from verified subject matter experts

Step: 2 Unlock
Step: 3 Unlock

Students Have Also Explored These Related General Management Questions!