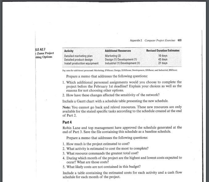
Question: Use MS Project Parts 3 & 4 636 Appendix? Compatie Phaked Firmeiner TABLE A 24 Siatus Report May 31, 2012 Blue Zuma Project The ARC



636 Appendix? Compatie Phaked Firmeiner TABLE A 24 Siatus Report May 31, 2012 Blue Zuma Project The ARC Company specializes in developing and selling a wide nange of high-quality scooters. Sales representatives report that there is a growing demand for racing scooters. ARC's president, Robin Lane, is excited about the possiblities and prediets that one day these kinds of razor scooters will be featured in X-Game events. ARC is a smsill company and uses a strong matrix to optimally utilixe Emitod manpower. The Project Prionity Matrix for the Blue Zuma Project is: Part 1 You are a member of a project team assigned to develop the new razor scooter code named "Blue Zuma." Table A2.5 contains the information necessary to ereate a project schedule. For the purpose of this case assume the following: 1. The project begins January 2, 2008 . 2. The following holidays are observed: January 1, Memorial Day (last Monday in May), July 4th, Labor Day (first Monday in September). Thanksgiving Day (4th Thursday in November), December 25 and 26. 3. If a boliday falls on a Saturday, then Friday will be given as an extra day off, and if it falls on a Sunday, then Monday will be given as a day off. 4. The project team works eight-hour days, Monday through Friday. Construct a network sechedule for this project and prepare a memo that answers the following questions: 1. When is the project estimated to be conpleted? How long will the project take? 2. What is the critical path for the project? Appendix 2 Comyoier Profed lixeries 631 3. Which activity has the greatest amount of slack? 4. How sensitive is this netwotk? 5. Identify two sensible milestones and explain your choices 6. Compare the advantages/disadvantages of displaying the schedule as a network versus a Gantt chart. Include the following priatouts: - A Gantt chart. - A network diagram highlighting the critical path. - A schodule table reporting ES, LS, EF, LF, and slack for each activity. Part 2 The following personnel have been assigned to the Btue Zuma projoct team: - 4 marketing -specialists - 4 design engineers - 4 development engineers - 4 industrial engineers - 1 purchasing agent Use the file from Part 1 and the information contained in Tables A2.5 and A2.6 to sssign resouroes to the project schednle. 522 Appendirt Canumter Poronet Eunecisey TABLE A2.6 Blue Zunen Project Pesources Part A Prepare a memo that addresses the following questions: 1. Which if any of the resources are overallocated? 2. Which activities involve overallocated resources? 3. Assume that the project is time constrained and try to resolve any overallocation problems by leveling within slack. What happens? 4. What is the impoct of leveling within slack on the sensitivity of the network? Include a Gantt chart with the schedule table after leveling within slack. Part B Prepare a memo that addresses the following questions: 1. Assume that the project is resource constrained and no additional personnel are available. How long will the project take given the resources assignedf (Hint: Undo leveling performed in Part A before answering this question.) Notes No splitting of activities is allowed. 2. How does the new duration compare with the estimated completion date generated from Part 1? What does this tell you about the impact resources can have on a schedule? Include a Gantt chart with a schedule table depicting the resource-constrained schedule. Part 3 Top management is not happy with the resource-constrained schedule generated at the end of Part 2. Robin Lane, the president, bas promised retailers that production of the new scooters would start on February 1, 2009. 1. Wbat options are availabic to meet this new deadine if the project is not resource constrained? 2. What options are available to meet this deadline if the project is resource constrained? Dewey Martin, director of product development, has managed to make the following personnel available to work on specific activities on the project. Since there is an acute shortage of personnel at ARC he requests that you only use additional manpower that will help meet the new deadline. Your objective is to develop a schedule which will satisfy the deadline with minimum additional resource usage. The availabie personnel and impoct on activity duration are presented in Table A2.7. Appendix2. Computer Projcet Exercises 633 Pay nides for idditional personnel: Marketing s70hour: Design, \$100hour Developiment, SPohour and Industrial, siohhour. Prepare a memo that addresses the following questions: 1. Which additional personnel assignments would you choose to complete the project before the February 1st deadline? Explain your choices as well as the reasons for not choosing other options. 2. How have these changes affected the sensitivity of the network? Include a Gantt chart with a schedule table presenting the new schedule. Note: You cannot go back and relevel resources. These new resources are only available for the stated specific tasks according to the schedule created at the end of Part 2. Part 4 Robin Lane and top management have approved the schedule generated at the end of Part 3 . Save the file containing this schedule as a baseline schedule. Prepare a memo that addresses the following questions: 1. How much is the project estimated to cost? 2. What activity is estimated to cost the most to complete? 3. What resource commands the greatest total cost? 4. During which month of the project are the highest and lowest costs expected to occur? What are those costs? 5. What likely costs are not contained in this budget? Include a table containing the estimated costs for each activity and a cash flow schedule for each month of the project. 636 Appendix? Compatie Phaked Firmeiner TABLE A 24 Siatus Report May 31, 2012 Blue Zuma Project The ARC Company specializes in developing and selling a wide nange of high-quality scooters. Sales representatives report that there is a growing demand for racing scooters. ARC's president, Robin Lane, is excited about the possiblities and prediets that one day these kinds of razor scooters will be featured in X-Game events. ARC is a smsill company and uses a strong matrix to optimally utilixe Emitod manpower. The Project Prionity Matrix for the Blue Zuma Project is: Part 1 You are a member of a project team assigned to develop the new razor scooter code named "Blue Zuma." Table A2.5 contains the information necessary to ereate a project schedule. For the purpose of this case assume the following: 1. The project begins January 2, 2008 . 2. The following holidays are observed: January 1, Memorial Day (last Monday in May), July 4th, Labor Day (first Monday in September). Thanksgiving Day (4th Thursday in November), December 25 and 26. 3. If a boliday falls on a Saturday, then Friday will be given as an extra day off, and if it falls on a Sunday, then Monday will be given as a day off. 4. The project team works eight-hour days, Monday through Friday. Construct a network sechedule for this project and prepare a memo that answers the following questions: 1. When is the project estimated to be conpleted? How long will the project take? 2. What is the critical path for the project? Appendix 2 Comyoier Profed lixeries 631 3. Which activity has the greatest amount of slack? 4. How sensitive is this netwotk? 5. Identify two sensible milestones and explain your choices 6. Compare the advantages/disadvantages of displaying the schedule as a network versus a Gantt chart. Include the following priatouts: - A Gantt chart. - A network diagram highlighting the critical path. - A schodule table reporting ES, LS, EF, LF, and slack for each activity. Part 2 The following personnel have been assigned to the Btue Zuma projoct team: - 4 marketing -specialists - 4 design engineers - 4 development engineers - 4 industrial engineers - 1 purchasing agent Use the file from Part 1 and the information contained in Tables A2.5 and A2.6 to sssign resouroes to the project schednle. 522 Appendirt Canumter Poronet Eunecisey TABLE A2.6 Blue Zunen Project Pesources Part A Prepare a memo that addresses the following questions: 1. Which if any of the resources are overallocated? 2. Which activities involve overallocated resources? 3. Assume that the project is time constrained and try to resolve any overallocation problems by leveling within slack. What happens? 4. What is the impoct of leveling within slack on the sensitivity of the network? Include a Gantt chart with the schedule table after leveling within slack. Part B Prepare a memo that addresses the following questions: 1. Assume that the project is resource constrained and no additional personnel are available. How long will the project take given the resources assignedf (Hint: Undo leveling performed in Part A before answering this question.) Notes No splitting of activities is allowed. 2. How does the new duration compare with the estimated completion date generated from Part 1? What does this tell you about the impact resources can have on a schedule? Include a Gantt chart with a schedule table depicting the resource-constrained schedule. Part 3 Top management is not happy with the resource-constrained schedule generated at the end of Part 2. Robin Lane, the president, bas promised retailers that production of the new scooters would start on February 1, 2009. 1. Wbat options are availabic to meet this new deadine if the project is not resource constrained? 2. What options are available to meet this deadline if the project is resource constrained? Dewey Martin, director of product development, has managed to make the following personnel available to work on specific activities on the project. Since there is an acute shortage of personnel at ARC he requests that you only use additional manpower that will help meet the new deadline. Your objective is to develop a schedule which will satisfy the deadline with minimum additional resource usage. The availabie personnel and impoct on activity duration are presented in Table A2.7. Appendix2. Computer Projcet Exercises 633 Pay nides for idditional personnel: Marketing s70hour: Design, \$100hour Developiment, SPohour and Industrial, siohhour. Prepare a memo that addresses the following questions: 1. Which additional personnel assignments would you choose to complete the project before the February 1st deadline? Explain your choices as well as the reasons for not choosing other options. 2. How have these changes affected the sensitivity of the network? Include a Gantt chart with a schedule table presenting the new schedule. Note: You cannot go back and relevel resources. These new resources are only available for the stated specific tasks according to the schedule created at the end of Part 2. Part 4 Robin Lane and top management have approved the schedule generated at the end of Part 3 . Save the file containing this schedule as a baseline schedule. Prepare a memo that addresses the following questions: 1. How much is the project estimated to cost? 2. What activity is estimated to cost the most to complete? 3. What resource commands the greatest total cost? 4. During which month of the project are the highest and lowest costs expected to occur? What are those costs? 5. What likely costs are not contained in this budget? Include a table containing the estimated costs for each activity and a cash flow schedule for each month of the project
Step by Step Solution
There are 3 Steps involved in it
Get step-by-step solutions from verified subject matter experts
