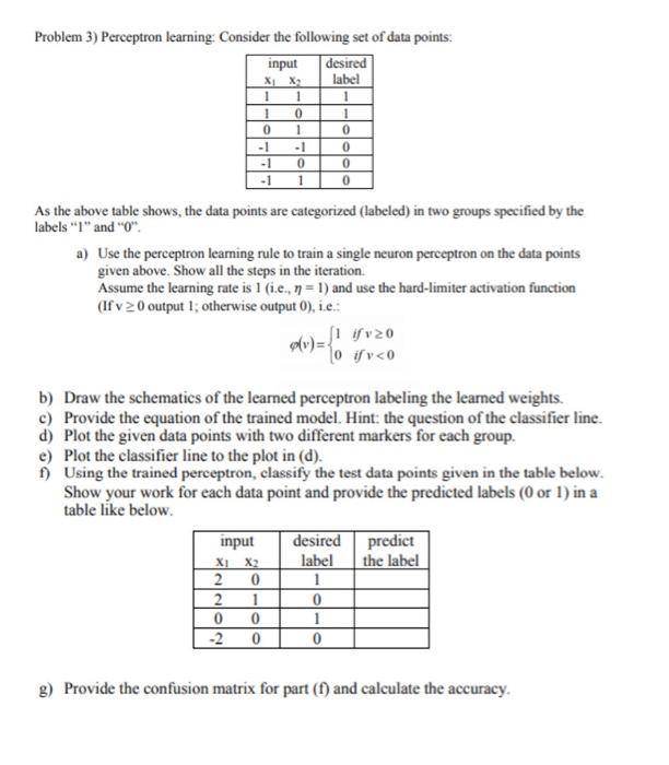
Question: use Python please answer all parts 1 1 0 -1 - -1 0 0 0 0 Problem 3) Perceptron learning: Consider the following set of
1 1 0 -1 - -1 0 0 0 0 Problem 3) Perceptron learning: Consider the following set of data points: input desired label 1 1 0 1 1 - 1 0 1 As the above table shows, the data points are categorized (labeled) in two groups specified by the labels "1" and "0" a) Use the perceptron learning rule to train a single neuron perceptron on the data points given above. Show all the steps in the iteration Assume the learning rate is 1 (i.e., n = 1) and use the hard-limiter activation function (If v 20 output 1; otherwise output 0), i.e. i ifv20 lo ivo b) Draw the schematics of the learned perceptron labeling the learned weights. c) Provide the equation of the trained model. Hint: the question of the classifier line. d) Plot the given data points with two different markers for each group. e) Plot the classifier line to the plot in (d). ) Using the trained perceptron, classify the test data points given in the table below. Show your work for each data point and provide the predicted labels (0 or 1) in a table like below. input desired predict label the label 2 1 2 1 0 0 1 -2 0 X1 0 0 g) Provide the confusion matrix for part (f) and calculate the accuracy
Step by Step Solution
There are 3 Steps involved in it
Get step-by-step solutions from verified subject matter experts
