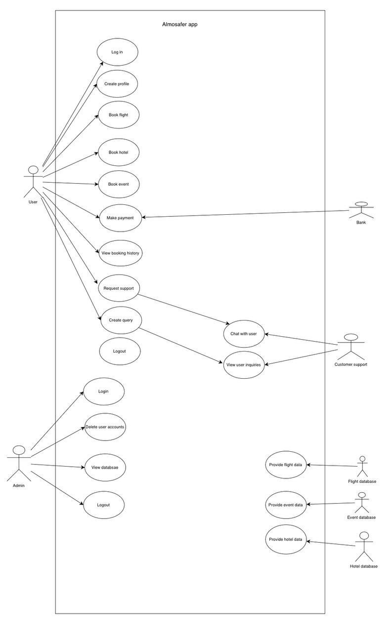
Question: Use sequence diagram for only create proflie . . . drwe the uml digram make it more spefic
Use sequence diagram for only create proflie drwe the uml digram make it more spefic
Step by Step Solution
There are 3 Steps involved in it
1 Expert Approved Answer
Step: 1 Unlock
Question Has Been Solved by an Expert!
Get step-by-step solutions from verified subject matter experts
Step: 2 Unlock
Step: 3 Unlock
