Question: use the charts to solve with pls! TABLE 1 Future Value of 1 TABLE 2 Future Value of an Annuitv of 1 TABLE 3 Present









use the charts to solve with pls!
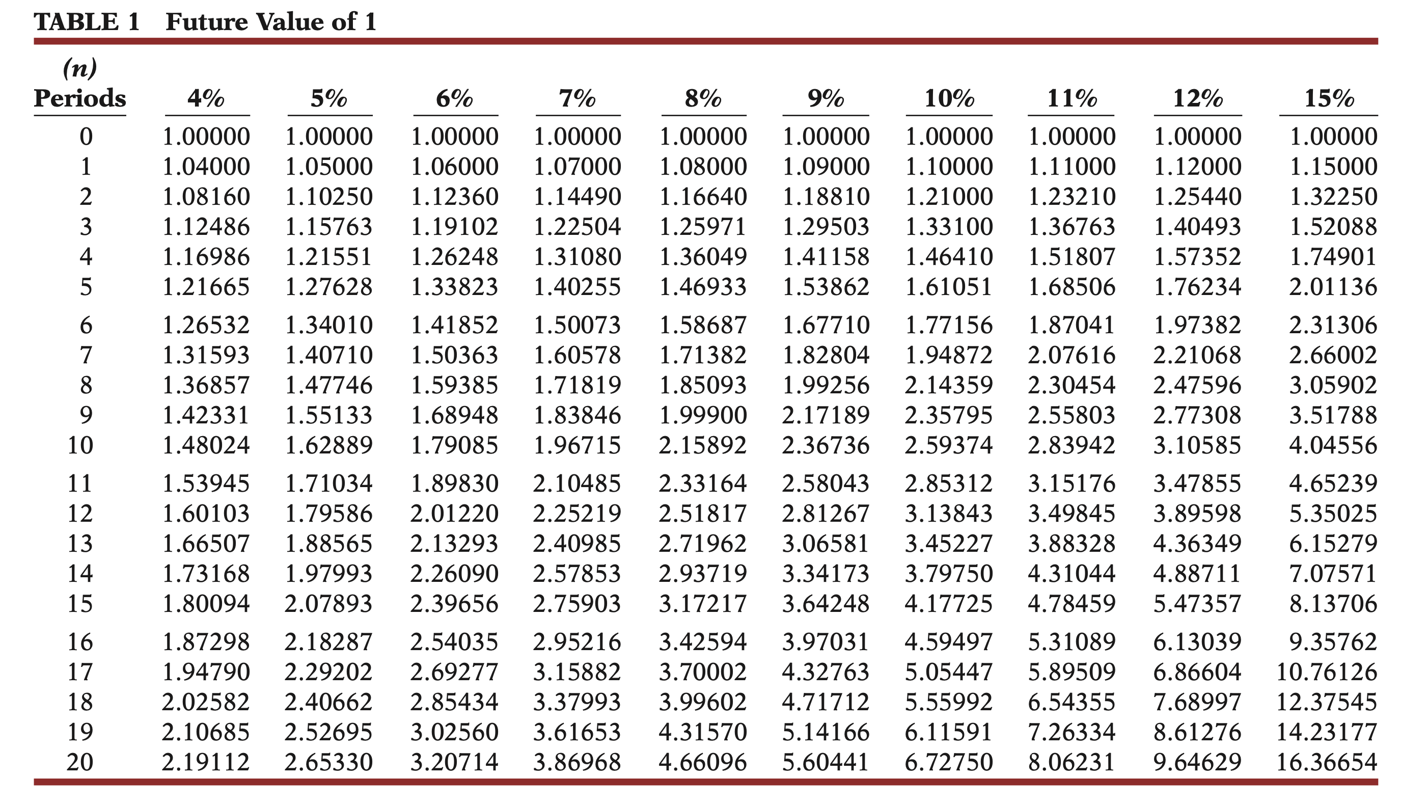
TABLE 1 Future Value of 1 TABLE 2 Future Value of an Annuitv of 1 TABLE 3 Present Value of 1 TABLE 4 Present Value of an Annuity of 1 Crane Corp. is thinking about opening a soccer camp in southern California. To start the camp, Crane would need to purchase land and build four soccer fields and a sleeping and dining facility to house 150 soccer players. Each year, the camp would be run for 8 sessions of 1 week each. The company would hire college soccer players as coaches. The camp attendees would be male and female soccer players ages 12-18. Property values in southern California have enjoyed a steady increase in value. It is expected that after using the facility for 20 years, Crane can sell the property for more than it was originally purchased for. The following amounts have been estimated. Calculate the net present value of the project. (If the net present value is negative, use either a negative sign preceding the number e.g. -45 or parentheses e.g. (45). Round answer to 0 decimal places, e.g. 125. For calculation purposes, use 5 decimal places as displayed in the factor table provided.) Net present value $ Should the project be accepted? The project be accepted. To gauge the sensitivity of the project to these estimates, assume that if only 125 players attend each week, annual cash inflows will be $806,610 and annual cash outflows will be $751,500. What is the net present value using these alternative estimates? (If the net present value is negative, use either a negative sign preceding the number e.g. -45 or parentheses e.g. (45). Round answer to 0 decimal places, e.g. 125. For calculation purposes, use 5 decimal places as displayed in the factor table provided.) Net present value $ Should the project be accepted? The project should be Assuming the original facts, what is the net present value if the project is actually riskier than first assumed and a 10% discount rate is more appropriate? (If the net present value is negative, use either a negative sign preceding the number e.g. -45 or parentheses e.g. (45). Round answer to 0 decimal places, e.g. 125. For calculation purposes, use 5 decimal places as displayed in the factor table provided.) Net present value Should the project be accepted? The project be accepted. Assume that during the first 5 years, the annual net cash flows each year were only $40,080. At the end of the fifth year, the company is running low on cash, so management decides to sell the property for $1,334,664. What was the actual internal rate of return on the project? (Round answer to 0 decimal places, e.g. 13\%. For calculation purposes, use 5 decimal places as displayed in the factor table provided.) Actual internal rate of return %
Step by Step Solution
There are 3 Steps involved in it
Get step-by-step solutions from verified subject matter experts
