Question: Use the following information concerning Forex and the Big Mac Index (info included later on this sheet) to answer the questions included. * Into trom

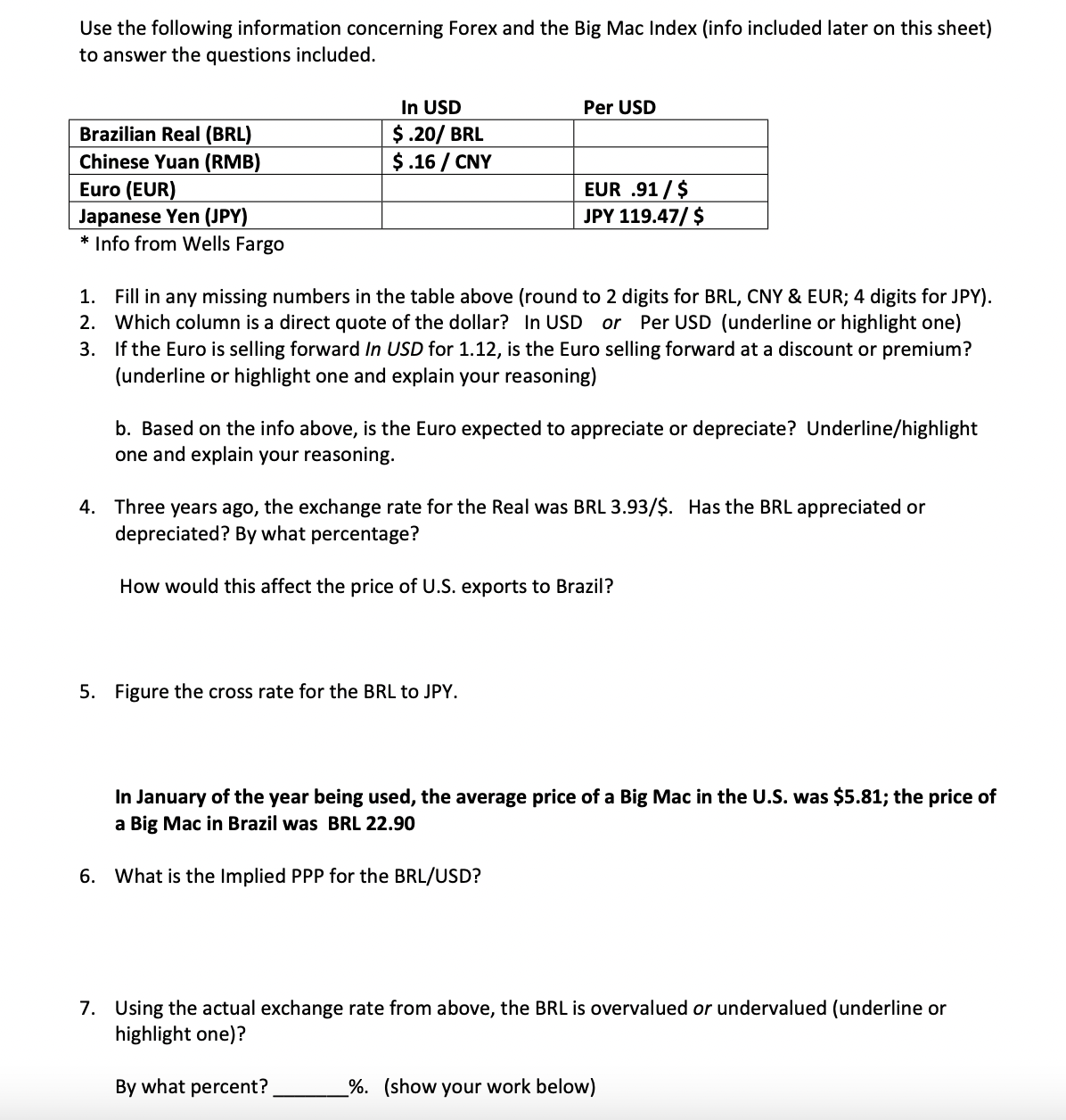
Use the following information concerning Forex and the Big Mac Index (info included later on this sheet) to answer the questions included. * Into trom Wells Fargo 1. Fill in any missing numbers in the table above (round to 2 digits for BRL, CNY \& EUR; 4 digits for JPY). 2. Which column is a direct quote of the dollar? In USD or Per USD (underline or highlight one) 3. If the Euro is selling forward In USD for 1.12, is the Euro selling forward at a discount or premium? (underline or highlight one and explain your reasoning) b. Based on the info above, is the Euro expected to appreciate or depreciate? Underline/highlight one and explain your reasoning. 4. Three years ago, the exchange rate for the Real was BRL 3.93/\$. Has the BRL appreciated or depreciated? By what percentage? How would this affect the price of U.S. exports to Brazil? 5. Figure the cross rate for the BRL to JPY. In January of the year being used, the average price of a Big Mac in the U.S. was $5.81; the price of a Big Mac in Brazil was BRL 22.90 6. What is the Implied PPP for the BRL/USD? 7. Using the actual exchange rate from above, the BRL is overvalued or undervalued (underline or highlight one)? By what percent? \%. (show your work below)
Step by Step Solution
There are 3 Steps involved in it
Get step-by-step solutions from verified subject matter experts
