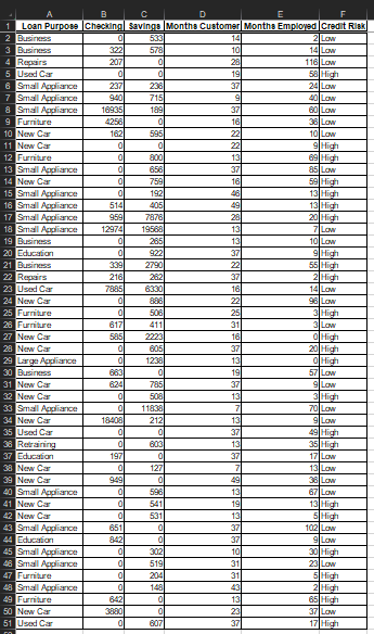
Question: Use the given data to classify the record below using the k-NN algorithm for k= 1 to 5. Loan Purpose Retraining Checking 644 Savings 2000


Use the given data to classify the record below using the k-NN algorithm for k= 1 to 5. Loan Purpose Retraining Checking 644 Savings 2000 Months Customer 20 Months Employed 60 Click the icon to view the table of classified records. Complete the table below for the nearest neighbors and for the classification of the new record for each value of k. k Distance Classification 1 High 2 Low 3 Tie 4 C 5 59 High 13 High D 1 Loan Purpose Checking Savings Months Customer Months Employed Credit Risk 2 Bus 533 14 2 Low 3 Business 322 578 10 14 Low 4 Repairs 207 28 116 LOW 5 Used Car 19 58 High & Small Aadliance 2371 238 37 24 Low 7 Small Appliance 940 715 9 40|Low 8 Small Aliance 18935 189 37 60 LOW 9 Furniture 4256 16 38 Low 10 New Car 162 595 22 10 Low 11 New Car 0 22 9 High 12 Furniture 800 13 69 High 13 Small Appliance 658 37 85 Low 14 New Car 759 18 15 Small Apliance o 192 48 13 High 18 Small Aliance 514 405 49 17 Small Adliance 959 7878 28 20 High 18 Small Aadiance 12974 19568 13 7 Low 19 Business 285 13 10 Low 20 Education 0 922 37 9 High 21 Business 3391 2790 22 55 High 22 Repairs 216 282 37 2 High 23 Used Car 78851 6330 16 14 Low 24 New Car 898 22 98 Low 25 Furniture 508 25 3 High 28 Furniture 8171 411 31 3 Low 27 New Car 585 2223 16 28 New Car 805 37 20 High 29 Large Aadliance g 1238 13 30 Business 683 0 19 57Low 31 New Car 785 37 9 Low 32 New Car 0 508 13 3 High 33 Small Apliance 11839 7 70 Low 34 New Car 18408 212 13 9 Low 35 Used Car o 37 38 Retraining 603 13 37 Education 197 37 17 Low 38 Now Car ol 127 7 13 Low 39 New Car 949 49 38 Low 40 Small Appliance 0 598 13 67 Low 41 New Car 541 19 13 High 42 New Car 531 13 5 High 43 Small Appliance 6511 0 37 102 Low 44 Education 842 ol 37 9 Low 45 Small Appliance 302 10 30 High 48 Small Apliance 0 519 31 23 Low 47 Furniture 204 31 5 High 48 Small Appliance 148 49 Furniture 642 0 13 65 High 50 New Car 3880 0 23 37 Low 51 Used Car B07 37 17 High o High High 35 High 2 High Use the given data to classify the record below using the k-NN algorithm for k= 1 to 5. Loan Purpose Retraining Checking 644 Savings 2000 Months Customer 20 Months Employed 60 Click the icon to view the table of classified records. Complete the table below for the nearest neighbors and for the classification of the new record for each value of k. k Distance Classification 1 High 2 Low 3 Tie 4 C 5 59 High 13 High D 1 Loan Purpose Checking Savings Months Customer Months Employed Credit Risk 2 Bus 533 14 2 Low 3 Business 322 578 10 14 Low 4 Repairs 207 28 116 LOW 5 Used Car 19 58 High & Small Aadliance 2371 238 37 24 Low 7 Small Appliance 940 715 9 40|Low 8 Small Aliance 18935 189 37 60 LOW 9 Furniture 4256 16 38 Low 10 New Car 162 595 22 10 Low 11 New Car 0 22 9 High 12 Furniture 800 13 69 High 13 Small Appliance 658 37 85 Low 14 New Car 759 18 15 Small Apliance o 192 48 13 High 18 Small Aliance 514 405 49 17 Small Adliance 959 7878 28 20 High 18 Small Aadiance 12974 19568 13 7 Low 19 Business 285 13 10 Low 20 Education 0 922 37 9 High 21 Business 3391 2790 22 55 High 22 Repairs 216 282 37 2 High 23 Used Car 78851 6330 16 14 Low 24 New Car 898 22 98 Low 25 Furniture 508 25 3 High 28 Furniture 8171 411 31 3 Low 27 New Car 585 2223 16 28 New Car 805 37 20 High 29 Large Aadliance g 1238 13 30 Business 683 0 19 57Low 31 New Car 785 37 9 Low 32 New Car 0 508 13 3 High 33 Small Apliance 11839 7 70 Low 34 New Car 18408 212 13 9 Low 35 Used Car o 37 38 Retraining 603 13 37 Education 197 37 17 Low 38 Now Car ol 127 7 13 Low 39 New Car 949 49 38 Low 40 Small Appliance 0 598 13 67 Low 41 New Car 541 19 13 High 42 New Car 531 13 5 High 43 Small Appliance 6511 0 37 102 Low 44 Education 842 ol 37 9 Low 45 Small Appliance 302 10 30 High 48 Small Apliance 0 519 31 23 Low 47 Furniture 204 31 5 High 48 Small Appliance 148 49 Furniture 642 0 13 65 High 50 New Car 3880 0 23 37 Low 51 Used Car B07 37 17 High o High High 35 High 2 High
Step by Step Solution
There are 3 Steps involved in it
Get step-by-step solutions from verified subject matter experts
