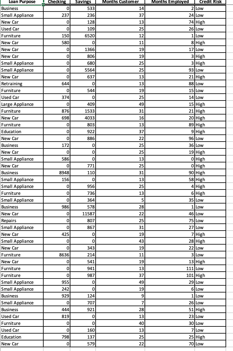
Question: Use the given data to classify the record below using the k-NN algorithm for k= 1 to 5. Loan Purpose Small Appliance Checking 100 Savings


Use the given data to classify the record below using the k-NN algorithm for k= 1 to 5. Loan Purpose Small Appliance Checking 100 Savings 8000 Months Customer 12 Months Employed 90 Click the icon to view the table of classified records. Complete the table below for the nearest neighbors and for the classification of the new record for each value of k. k Distance Classification 1 2 3 4 5 (Round to four decimal places as needed.) Loan Purpose Business Small Appliance New Car Used Car Furniture New Car New Car New Car Small Appliance Small Appliance New Car Retraining Furniture Used Car Large Appliance Furniture New Car Furniture Education New Car Business New Car Small Appliance New Car Business Small Appliance Small Appliance Furniture Small Appliance Business New Car Repairs Small Appliance New Car Small Appliance New Car Furniture New Car Furniture Furniture Small Appliance Small Appliance Business Small Appliance Business Used Car Furniture Used Car Education New Car Checking Savings Months Customer Months Employed Credit Risk 0 533 14) 2 Low 237 236 37 24 Low 0 128 13 74 High 0 109 25 26 Low 150 6520 12 1 Low 580 0 11 8 High 0 1366 19 17 Low 0 8061 19 3 High 0 680 25 3 High 0 5564 25 93 Low 0 637 13 21 High 644 0 13 88 Low 0 544 19 15 Low 374 0 25 14 Low 0 409 49 15 High 876 1533 31 21 High 698 4033 16 20 High 0 803 13 89 High 0 922 37 9 High 0 0 886 22 96 Low 172 0 0 25 36 Low 0 0 25 19 High 586 0 13 O High 0 771 251 O High 8948 110 31 90 High 156 0 13 58 High 0 956 25 4 High 0 736 13 6 High 0 364 5 35 Low 986 578 28 1 Low 0 11587 22 46 Low 0 807 25 75 Low 0 0 867 31 27 Low 425 0 19 7 High 0 0 43 28 High 0 343 19 22 Low 8636 214 11 3 Low 0 541 19 13 High 0 941 13 111 Low 0 987 37 101 High 955 0 49 29 Low 242 0 19 6 Low 929 124 9 1 Low 0 707 7 26 Low 444 921 28 51 High 819 0 ol 13 23 Low 0 0 40 30 Low 0 160 13 7 Low 798 137 25 25 High 0 579 22 70 Low Use the given data to classify the record below using the k-NN algorithm for k= 1 to 5. Loan Purpose Small Appliance Checking 100 Savings 8000 Months Customer 12 Months Employed 90 Click the icon to view the table of classified records. Complete the table below for the nearest neighbors and for the classification of the new record for each value of k. k Distance Classification 1 2 3 4 5 (Round to four decimal places as needed.) Loan Purpose Business Small Appliance New Car Used Car Furniture New Car New Car New Car Small Appliance Small Appliance New Car Retraining Furniture Used Car Large Appliance Furniture New Car Furniture Education New Car Business New Car Small Appliance New Car Business Small Appliance Small Appliance Furniture Small Appliance Business New Car Repairs Small Appliance New Car Small Appliance New Car Furniture New Car Furniture Furniture Small Appliance Small Appliance Business Small Appliance Business Used Car Furniture Used Car Education New Car Checking Savings Months Customer Months Employed Credit Risk 0 533 14) 2 Low 237 236 37 24 Low 0 128 13 74 High 0 109 25 26 Low 150 6520 12 1 Low 580 0 11 8 High 0 1366 19 17 Low 0 8061 19 3 High 0 680 25 3 High 0 5564 25 93 Low 0 637 13 21 High 644 0 13 88 Low 0 544 19 15 Low 374 0 25 14 Low 0 409 49 15 High 876 1533 31 21 High 698 4033 16 20 High 0 803 13 89 High 0 922 37 9 High 0 0 886 22 96 Low 172 0 0 25 36 Low 0 0 25 19 High 586 0 13 O High 0 771 251 O High 8948 110 31 90 High 156 0 13 58 High 0 956 25 4 High 0 736 13 6 High 0 364 5 35 Low 986 578 28 1 Low 0 11587 22 46 Low 0 807 25 75 Low 0 0 867 31 27 Low 425 0 19 7 High 0 0 43 28 High 0 343 19 22 Low 8636 214 11 3 Low 0 541 19 13 High 0 941 13 111 Low 0 987 37 101 High 955 0 49 29 Low 242 0 19 6 Low 929 124 9 1 Low 0 707 7 26 Low 444 921 28 51 High 819 0 ol 13 23 Low 0 0 40 30 Low 0 160 13 7 Low 798 137 25 25 High 0 579 22 70 Low
Step by Step Solution
There are 3 Steps involved in it
Get step-by-step solutions from verified subject matter experts
