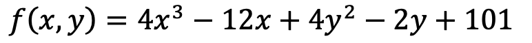
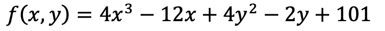
Question: Use the image provided to help answer the following: For the following functions, please help find the find the critical points.

Use the image provided to help answer the following:
For the following functions, please help find the find the critical points.

Step by Step Solution
There are 3 Steps involved in it
Get step-by-step solutions from verified subject matter experts
