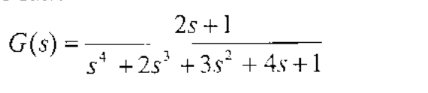
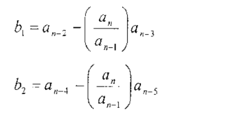
Question: use the routing array to determine if the system that has the following transfer function is stable or not: ffff
use the routing array to determine if the system that has the following transfer function is stable or not:




Step by Step Solution
There are 3 Steps involved in it
Get step-by-step solutions from verified subject matter experts
