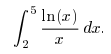
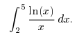
Question: Use the Simpson method with n = 4 subintervals to estimate the value of the integral: di

Use the Simpson method with n = 4 subintervals to estimate the value of the integral:

di
Step by Step Solution
There are 3 Steps involved in it
1 Expert Approved Answer
Step: 1 Unlock
Question Has Been Solved by an Expert!
Get step-by-step solutions from verified subject matter experts
Step: 2 Unlock
Step: 3 Unlock
