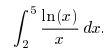
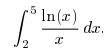
Question: Use the Simpson method with n = 4 subintervals to estimate the value of the integral: di

 Use the Simpson method with n = 4 subintervals to estimate

Use the Simpson method with n = 4 subintervals to estimate the value of the integral:

the value of the integral: di

di

Step by Step Solution

There are 3 Steps involved in it

1 Expert Approved Answer
Step: 1 Unlock blur-text-image
Question Has Been Solved by an Expert!

Get step-by-step solutions from verified subject matter experts

Step: 2 Unlock
Step: 3 Unlock

Students Have Also Explored These Related Mathematics Questions!