Question: Use the table below to find the following values. x 1 2 3 3 45 6 f(x) 5 4 2 4 6 6 g(x)




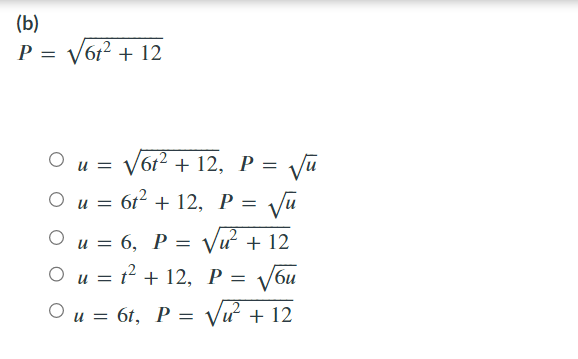
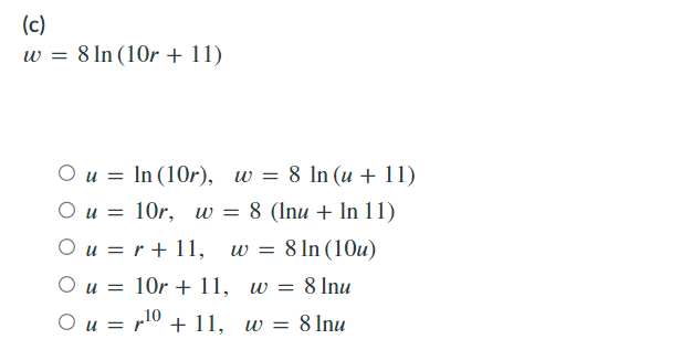
Use the table below to find the following values. x 1 2 3 3 45 6 f(x) 5 4 2 4 6 6 g(x) 6 6 4 4 1 1 i = (a) f(g(1)) = (b) g (f(1)) = (c) f (g(4)) = (d) g (f(4)) = (e) f(g(6)) = i i i (f) g (f (6)) = Use the variable u for the inside function to express each of the following as a composite function: (a) y = 23x-1 u = 2, y = 43x-1 Ou = 3x1, y = 2" u = 3x, y = 2" u = 3x, y = 23u-1 O u = 23x, y = u+21 (b) P = 612+12 u = 6t + 12, P = u O u = 6t + 12, P = Ou = 6, P = u + 12 6u Out+12, P = = Ou = 6t, P = u + 12 (c) w8ln (10r +11) = Ou = In (10r), w = 8 In (u +11) Ou 10r, w = 8 (Inu + In 11) = Our+ 11, W = 8 In (10u) Ou 10r 11, w = 8 Inu Our10+11, w = 8lnu = The function f(x) is shown in the figure. Use the controls to f(x) +3. transform f(x) to graph y= NOTE: Use the sliders below to transform the graph. Reset Vertical shift Horizontal Shift: 1 Horizontal Stretch: 1 Y x Vertical stretch 1 Reflect about the x-axis Reflect about the line x = 1
Step by Step Solution
There are 3 Steps involved in it
Get step-by-step solutions from verified subject matter experts
