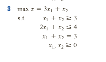
Question: Use the Two-Phase Simplex Algorithm to solve the LP: 3 max z = 3x1 + x2 s.t. x1 + x2 > 3 2x1 + x2
Use the Two-Phase Simplex Algorithm to solve the LP:

3 max z = 3x1 + x2 s.t. x1 + x2 > 3 2x1 + x2 0
Step by Step Solution
There are 3 Steps involved in it
1 Expert Approved Answer
Step: 1 Unlock
Question Has Been Solved by an Expert!
Get step-by-step solutions from verified subject matter experts
Step: 2 Unlock
Step: 3 Unlock
