Question: Use this conditional factor demands: a) Determine the total cost TC(Q) function, the marginal cost MC(Q) function, and the average cost function AC(Q). Is the
Use this conditional factor demands:

a) Determine the total cost TC(Q) function, the marginal cost MC(Q) function, and the average cost function AC(Q). Is the marginal cost function increasing, decreasing, or constant in Q?
b) Does the production function Q = AK2/3L1/3 have increasing, decreasing, or constant returns to scale?
c) Discuss the results you found for the marginal cost function and its relationship in Q, the average cost function, and the returns to scale for the production function above. Why do you get those results for the marginal cost and average cost functions given the returns to scale of the production function?
d) Suppose the wage is $25, rental rate of capital is $50, and the coefficient of technological progress is 30. What is the profit-maximizing output when the market price is:
i) P = 2
ii) P = 2.5
iii) P = 3
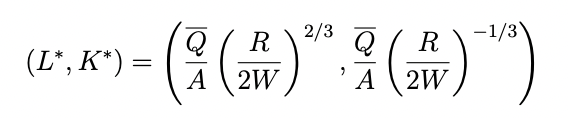
(L,K)=(AQ(2WR)2/3,AQ(2WR)1/3) (L,K)=(AQ(2WR)2/3,AQ(2WR)1/3)
Step by Step Solution
There are 3 Steps involved in it
Get step-by-step solutions from verified subject matter experts
