Question: use two phase method. for each phase provide simplex tableaus, basic variables, non basic variables, current solution and current objective value for each iteration min
use two phase method. for each phase provide simplex tableaus, basic variables, non basic variables, current solution and current objective value for each iteration
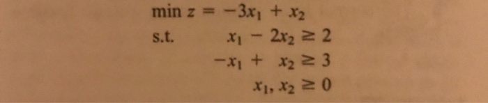
min z = -3, + X2 s.t. x - 2x) = 2 - + X2 3 , 2
Step by Step Solution
There are 3 Steps involved in it
1 Expert Approved Answer
Step: 1 Unlock
Question Has Been Solved by an Expert!
Get step-by-step solutions from verified subject matter experts
Step: 2 Unlock
Step: 3 Unlock
