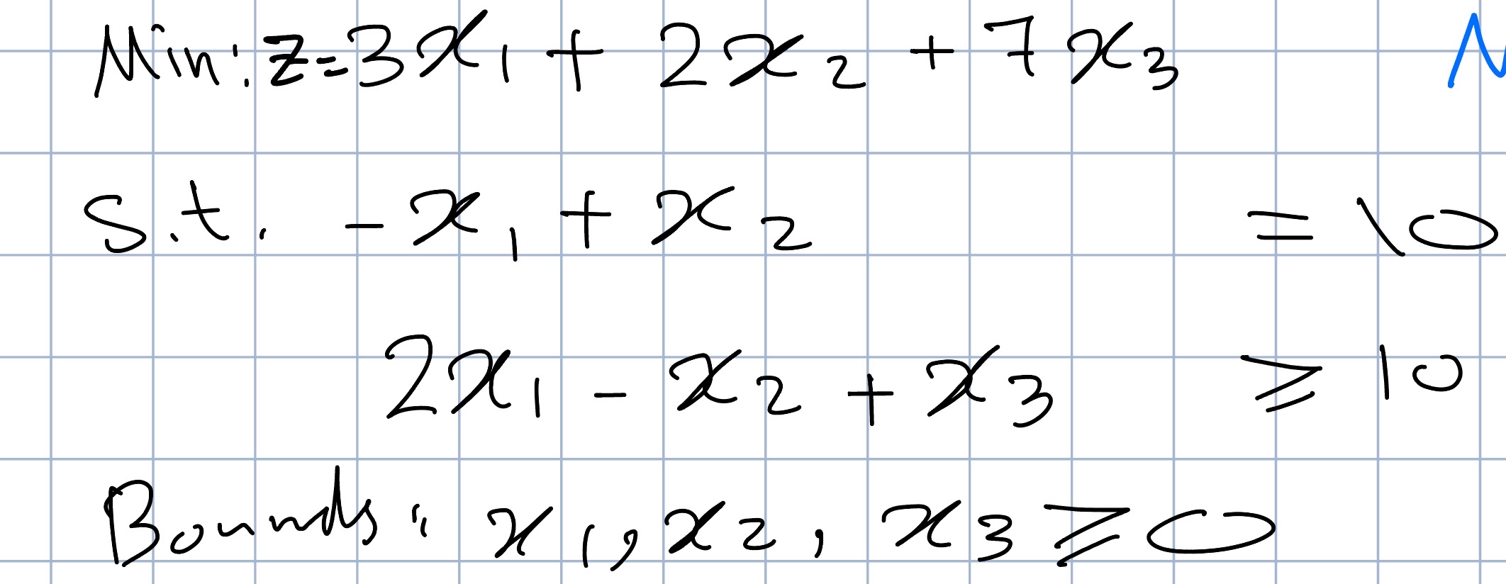
Question: Use two phase metods to solve this problem: Min: z = 3 x 1 + 2 x 2 + 7 x 3 s . t
Use two phase metods to solve this problem:
Min:
st
Bounds:
Step by Step Solution
There are 3 Steps involved in it
1 Expert Approved Answer
Step: 1 Unlock
Question Has Been Solved by an Expert!
Get step-by-step solutions from verified subject matter experts
Step: 2 Unlock
Step: 3 Unlock
