Question: Use two phase metods to solve this problem: Min: z = 3 x 1 + 2 x 2 + 7 x 3 s . t

Use two phase metods to solve this problem:
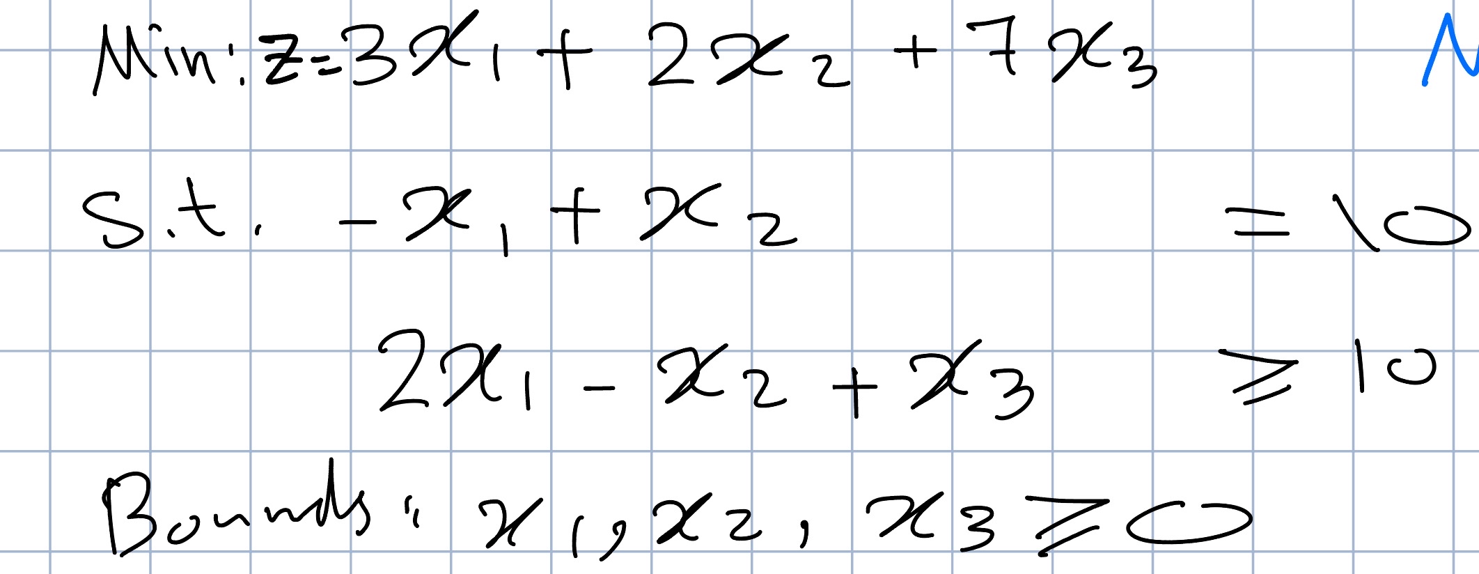
Min: z=3x1+2x2+7x3
s.t.
-x1+x2=10
2x1-x2+x310
Bounds: x1,x2,x30
 Use two phase metods to solve this problem: Min: z=3x1+2x2+7x3 s.t.

Step by Step Solution

There are 3 Steps involved in it

1 Expert Approved Answer
Step: 1 Unlock blur-text-image
Question Has Been Solved by an Expert!

Get step-by-step solutions from verified subject matter experts

Step: 2 Unlock
Step: 3 Unlock

Students Have Also Explored These Related General Management Questions!