Question: using elliptic curve cryptography technique for public and private key generation. In the following, each step of the process is described, and you are asked
using elliptic curve cryptography technique for public and private key
generation. In the following, each step of the process is described, and you are asked to answer
question to find the public key for private key d is
Key Generation
Given an elliptic curve: y xx mod ; generator A; Here,
p a b
Private key: given a private key d such that d
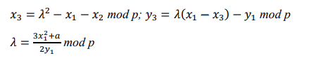
Public Key: Find the public key BPublic key is defined as B d
A using double and add algorithm.modp;modp
modp
Step by Step Solution
There are 3 Steps involved in it
1 Expert Approved Answer
Step: 1 Unlock
Question Has Been Solved by an Expert!
Get step-by-step solutions from verified subject matter experts
Step: 2 Unlock
Step: 3 Unlock
