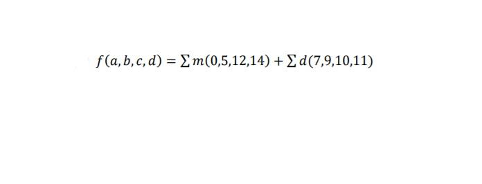
Question: Using Karnaugh maps, find the minimum sum-of-products expression for each function (m denotes minterm and d denotes don't care term). [20 points] 1 f(a,b,c,d) =

![(m denotes minterm and d denotes don't care term). [20 points] 1](https://dsd5zvtm8ll6.cloudfront.net/si.experts.images/questions/2024/09/66f3004cf259e_35666f3004c9c50f.jpg)
Using Karnaugh maps, find the minimum sum-of-products expression for each function (m denotes minterm and d denotes don't care term). [20 points] 1 f(a,b,c,d) = m(0,1,8,14) + d(2,11,13) f(a,b, c,d) = m(0,5,12,14) +(7,9,10,11)
Step by Step Solution
There are 3 Steps involved in it
Get step-by-step solutions from verified subject matter experts
