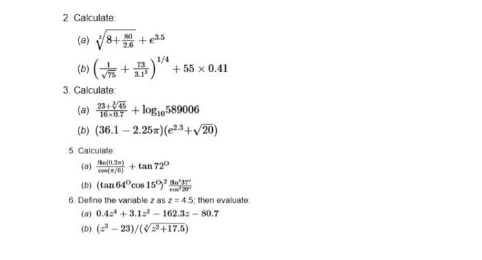
Question: using MATLAB please 2. Calculate 80 2.6 +3.5 )+55 x 0.41 (a) y 8+ (vo 73 + 3.1 3. Calculate 16x0.7 + log19589006 (b) (36.1
2. Calculate 80 2.6 +3.5 )"+55 x 0.41 (a) y 8+ (vo 73 + 3.1 3. Calculate 16x0.7 + log19589006 (b) (36.1 -2.25)(e2.3+20) 5. Calculate Sin(0.2) +tan 72 (b) (tan 64cos 159 S 37 6. Define the variable z as z = 4.5; then evaluate (a) 0.44 +3.12 - 162.32 - 80.7 (b) (-23)/(2+17.5) CON/6)
Step by Step Solution
There are 3 Steps involved in it
Get step-by-step solutions from verified subject matter experts
