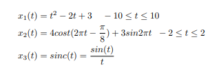
Question: Using MATLAB, show codes and the outputs for the problem(s) below. Function(s) x 1 (t), x 2 (t), x 3 (t): Problem 3 For functions
Using MATLAB, show codes and the outputs for the problem(s) below.

Function(s) x1(t), x2(t), x3(t):

Problem 3 For functions 21(t), 12(t), 13(t), write a program that plots a graph of a function y(t) for -4
Step by Step Solution
There are 3 Steps involved in it
Get step-by-step solutions from verified subject matter experts
