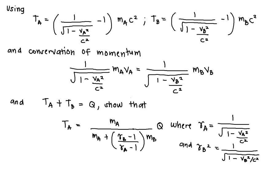
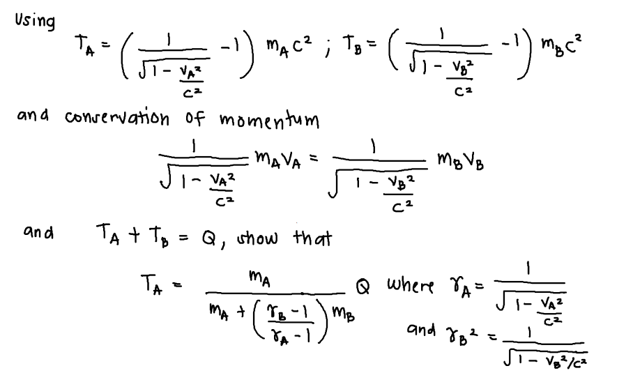
Question: Using T MAC2 ; To= -1 ) Cz and conservation of momentum MAVA = mp VB 1 - VA 2 1 - VA 2 C2


Using T MAC2 ; To= -1 ) Cz and conservation of momentum MAVA = mp VB 1 - VA 2 1 - VA 2 C2 C2 and TAtto = Q, show that TA = MA Q where DA= VA 2 ma + TB - 1 MB and 7 2 JI - VB2 / CZ
Step by Step Solution
There are 3 Steps involved in it
1 Expert Approved Answer
Step: 1 Unlock
Question Has Been Solved by an Expert!
Get step-by-step solutions from verified subject matter experts
Step: 2 Unlock
Step: 3 Unlock
