Question: Using the appropriate interest table, answer each of the following questions. (Each case is independent of the others.) 1. What is the future value of
Using the appropriate interest table, answer each of the following questions. (Each case is independent of the others.)
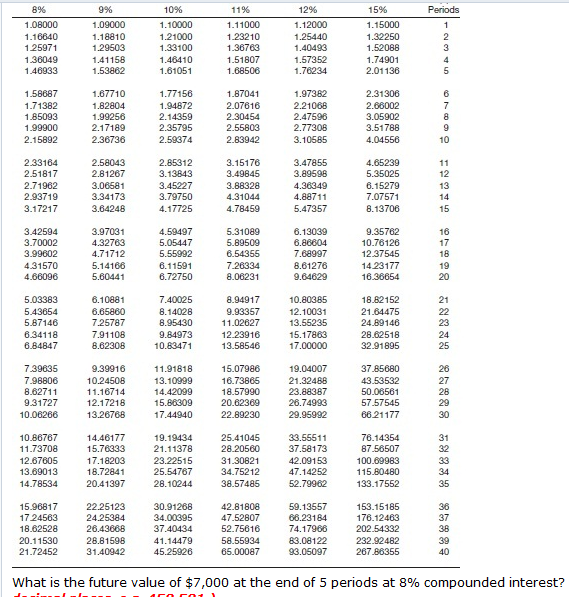
1. What is the future value of $7,000 at the end of 5 periods at 8% compounded interest?
2. What is the present value of $7,000 due 8 periods hence, discounted at 11%?
3. What is the future value of 15 periodic payments of $7,000 each made at the end of each period and compounded at 10%
4. What is the present value of $7,000 to be received at the end of each of 20 periods, discounted at 5% compound interest?
Step by Step Solution
There are 3 Steps involved in it
1 Expert Approved Answer
Step: 1 Unlock
Question Has Been Solved by an Expert!
Get step-by-step solutions from verified subject matter experts
Step: 2 Unlock
Step: 3 Unlock
