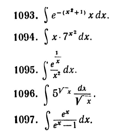
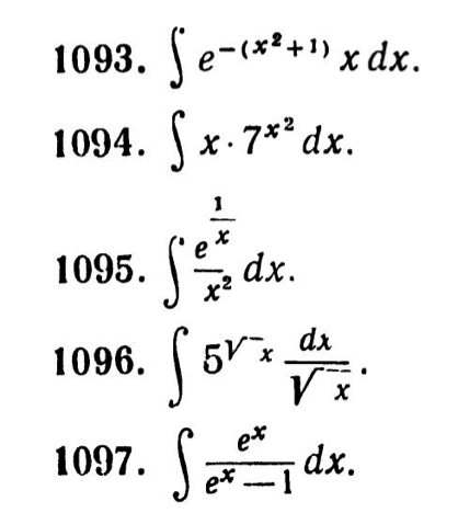
Question: Using the basic rules and formulas of integration, find the following integrals. e-(X2+J) xdx. 1093. 1094. 1095. 1096. 1097. x. 7*2dx

Using the basic rules and formulas of integration, find the following integrals.

e-(X2+J) xdx. 1093. 1094. 1095. 1096. 1097. x. 7*2dx
Step by Step Solution
There are 3 Steps involved in it
Get step-by-step solutions from verified subject matter experts
