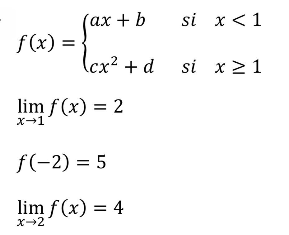
Question: Using the Gauss-Jordan method, find the values of a , b ,c and d knowing that x2 2x lim


Using the Gauss-Jordan method, find the values of a , b ,c and d knowing that


x2 2x lim
Step by Step Solution
There are 3 Steps involved in it
1 Expert Approved Answer
Step: 1 Unlock
Question Has Been Solved by an Expert!
Get step-by-step solutions from verified subject matter experts
Step: 2 Unlock
Step: 3 Unlock
