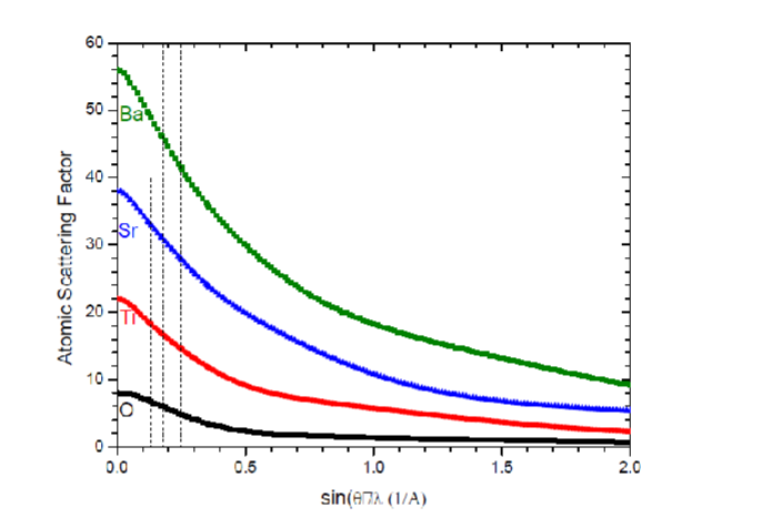
Question: Using the plot, determine the values for the atomic scattering factors at the (sin / ), the value for the structure factor, and the value


Using the plot, determine the values for the atomic scattering factors at the (sin
/
), the value for the structure factor, and the value of the Lorentz Polarization factor for the first four diffraction peaks.
BaTiO3 is another perovskite crystal structure which has a strong technological importance due to its ferroelectric properties. A ferroelectric material is one whose shape can be modified by applying a voltage across it, and in converse, imposing a strain on the material leads to a voltage buildup across the sample. Above 130C,BaTiO3 is paraelectric (i.e. does not display ferroelectric behavior) and belongs to the cubic crystal system with a=4.0A. Assume that you are using a powder diffraction system (x-ray of =1.54184A ) and you have a perfectly random sample
Step by Step Solution
There are 3 Steps involved in it
Get step-by-step solutions from verified subject matter experts
