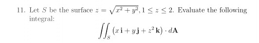
Question: Vector calculus practice problems; f13. Let C be the the rectangle in R3 with vertices (0, 0, 0), (1, 0, 0), (1, 1, 1), and
Vector calculus practice problems;





Step by Step Solution
There are 3 Steps involved in it
1 Expert Approved Answer
Step: 1 Unlock
Question Has Been Solved by an Expert!
Get step-by-step solutions from verified subject matter experts
Step: 2 Unlock
Step: 3 Unlock
