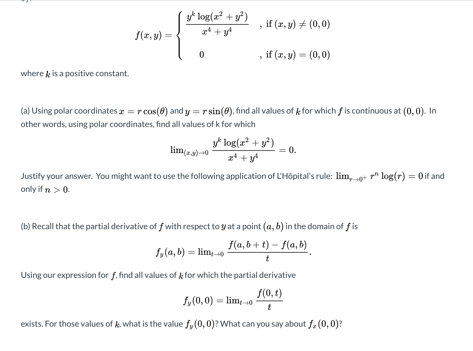
Question: Vector Calculus problem: Consider the functionf:R^2Rgiven by: y log(x2 + y?) , if (x, y) + (0, 0) f(xx, y) = 0 , if (x,
Vector Calculus problem:
Consider the functionf:R^2Rgiven by:

y log(x2 + y?) , if (x, y) + (0, 0) f(xx, y) = 0 , if (x, y) = (0, 0) where k is a positive constant. (a) Using polar coordinates x = r cos(0) and y = r sin(0), find all values of k for which f is continuous at (0, 0). In other words, using polar coordinates, find all values of k for which lim(x,y)-0 y log(x2 +y ) 2c 4 + 24 = 0. Justify your answer. You might want to use the following application of L'Hopital's rule: lim,_,+ r log(r) = 0 if and only if n > 0. (b) Recall that the partial derivative of f with respect to y at a point (a, b) in the domain of f is fy(a, b) = limt-0 f(a, b + t) - f(a, b) t Using our expression for f, find all values of k for which the partial derivative fy (0, 0) = limt-0 f (0, t) t exists. For those values of k, what is the value fy (0, 0)? What can you say about fx (0, 0)
Step by Step Solution
There are 3 Steps involved in it
Get step-by-step solutions from verified subject matter experts
