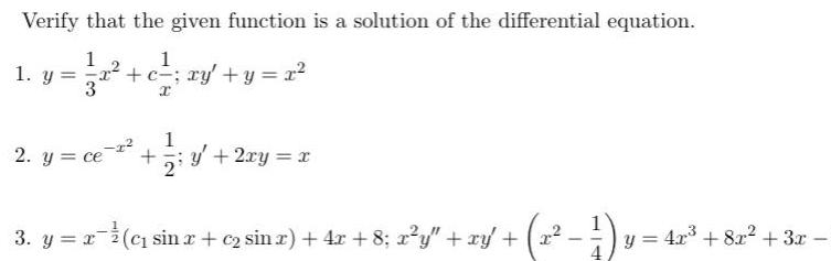
Question: Verify that the given function is a solution of the differential equation. 1 1. == 1 ++ +c; xy' + y = x I
Verify that the given function is a solution of the differential equation. 1 1. == 1 ++ +c; xy' + y = x I 1 2. y = ce + y' + 2xy = x 3. y = x (c sin x + c sin x) + 4x + 8; xy" + xy + (x (x - 1) y = 4x + 8x + 3x -
Step by Step Solution
There are 3 Steps involved in it
Get step-by-step solutions from verified subject matter experts
