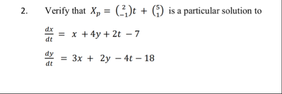
Question: Verify that x p = ( 2 - 1 ) t ( 5 1 ) is a particular solution to d x d t =
Verify that is a particular solution to
Step by Step Solution
There are 3 Steps involved in it
1 Expert Approved Answer
Step: 1 Unlock
Question Has Been Solved by an Expert!
Get step-by-step solutions from verified subject matter experts
Step: 2 Unlock
Step: 3 Unlock
