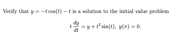
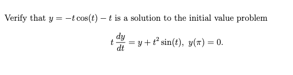
Question: Verify that y = -tcos(t) - t is a solution to the initial value problem dy dt = y +t sin(t), y(x) =0


Verify that y = -tcos(t) - t is a solution to the initial value problem dy dt = y +t sin(t), y(x) =0
Step by Step Solution
There are 3 Steps involved in it
Get step-by-step solutions from verified subject matter experts
