Question: Vincent asked Ray to solve the attached problem( Do not skip any step ). In the right triangle JKL, the points M and N trisect
Vincent asked Ray to solve the attached problem(Do not skip any step).





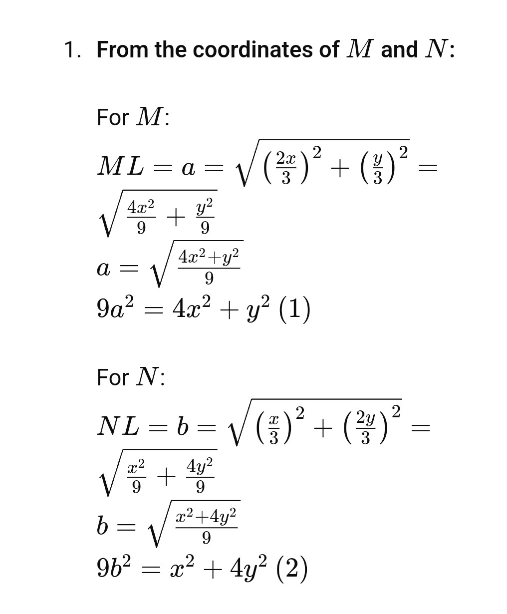
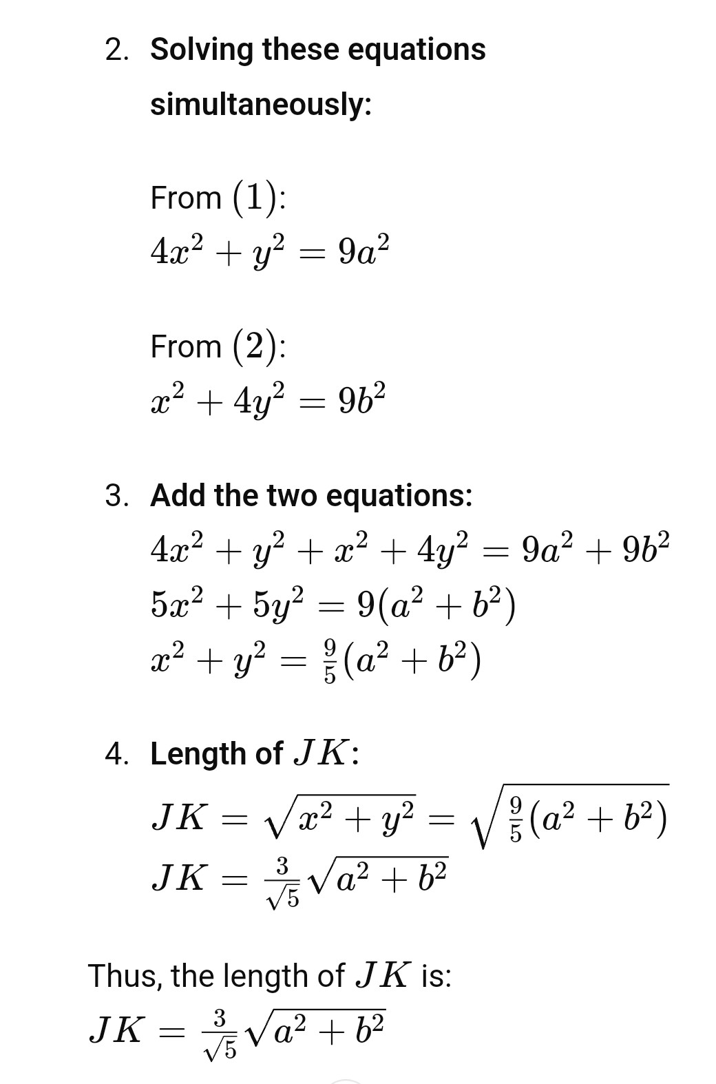
In the right triangle JKL, the points M and N trisect the hypotenuse JK. If ML = a and NL = b, find the length of JK in terms of a and b N MGiven: . ML = a . NL = b The right triangle JK L is trisected by points M and N. Steps: 1. Trisection of Hypotenuse: Since M and N trisect JK, we have: JM = MN = NK = JK 2. Using the Distance Formula: . The distance from M to L is a . The distance from N to L is b Let's derive the expression for JK:1. From the coordinates of M and N: For M: ML = a = 2 + 1 2 9 9 4x2 + y2 a = 9 9a2 = 4x2 + y2 (1) For N: N NL = b = V ( 3 ) ' + 2y 3 = 202 4y2 9 + 9 b = 9 962 = 202 + 4y2 (2)2. Solving these equations simultaneously: From (1): 4x2 + 32 = 9a2 From (2): 22 + 4y? = 962 3. Add the two equations: 4x2 + 32 + 22 + 4y2 = 9a2 + 962 5x2 + 532 = 9(a2+ 62) 2c2 + y2 = (a2 + 62 ) 4. Length of JK: JK = Vac2+yz = v = (a2 + 62) JK = 75 Va2 + 62 Thus, the length of JK is: JK = V5 Va2 + 62Using Distance Formula: e Since M and IV are points that trisect J K, let's denote: M = (2K) N = (25) Coordinate Approach: e Let's place the triangle on the coordinate plane with L = (0, 0), J = (21,0),and K = (0, 4,). Coordinates for M and /V: - M= (3. 9) ) N = (35)
Step by Step Solution
There are 3 Steps involved in it
Get step-by-step solutions from verified subject matter experts
