Question: We will nd the volume ofihe solid generated by revolving the region R about z-axis where R is the region bounded by y = 10:2








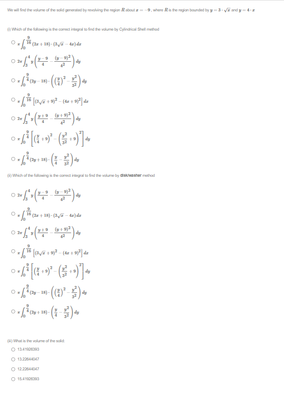
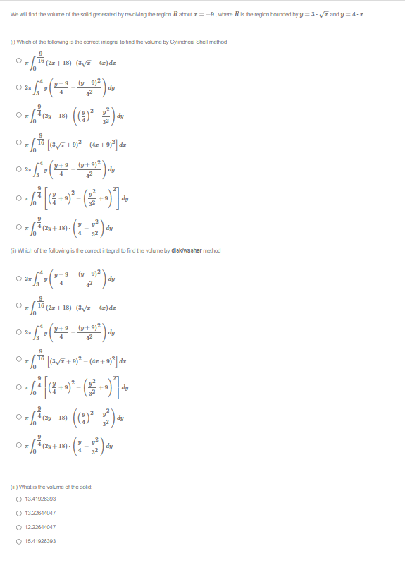
We will nd the volume ofihe solid generated by revolving the region R about z-axis where R is the region bounded by y = 10:2 and y = 3: (\"Which of the following is the correct integral to nd the volume by distriwasher method 3 O all.)10[zg 2C|:3)dz (ii) Which of the following is the correct integral to nd the volume by I:'quindlicall Shell method A 0 111A.) 10 [922 1mz')az 9 sin 2 Oar/.102 y___y_ {9 0 J10 3 O % '9 3'2 a \"1.; 1o 32 y l 0 all; 10 [522 2023}d: (iii) What is the volume of the solid Note: Write the exact answer not the decimal approximation {for example write % not 0.8}. Answer: Volume of the solid is | D - E We will find the volume of the solid generated by revolving the region A about y-axis where R is the region bounded by y = 9 . x/ , x = 0 and y = 9 (i) Which of the following is the correct integral to find the volume by cylnidrical shell method O 2x x(9 -927 ) dr 0 27 / 3 (94 7) dy 0 27 / z(9- 92 7) da 0 27 / 3 ( 94 7 ) dy (ii) Which of the following is the correct integral to find the volume by disk method oxy2 (92, 27) dy 07 60 32 62 -(H) 2/7) du O x 6 ( 4 ) 2/7 du on / (92 -92, 27) da Note: Write the exact answer not the decimal approximation (for example write _ not 0.8). (iii)What is the volume of the solid Answer: Volume =We will find the volume of the solid generated by revolving the region R about -axis where R is the region bounded by y = 5 . 2) , = = 0 and y = 5 (i) Which of the following is the correct integral to find the volume by cylnidrical shell method O 27 (526 ) dz O 27 / (26) dx 0 27 / 8(4) 1/5 du O 2Try (545) dy (ii) Which of the following is the correct integral to find the volume by disk method On (52 - 52,10 ) da or 6 0 2 2 ( 5 2 10 ) dy ox 60"2 2 (12 - (8)215) 24 on 6 (3 ) 2/5 da O x 60 (3 ) 2/5 dy (ili)What is the volume of the solid Answer:We will find the volume of the solid generated by revolving the region Rabout a = -9, where R is the region bounded by y = 3 - vi and y = 4. I (i) Which of the following is the correct integral to find the volume by Cylindrical Shell method O x 16 (2x + 18 ) - (3 , /7 - 43) dx of " (as + 18 ) . ( 1 7 ) du (i) Which of the following is the carred integral to find the volume by disk/washer method O 2 3 19(8 9)2 42 O x 16 ( 2x + 18) - (3 /2 - 4x) da 42 O x 1 (2y - 18) - ((1)2 12) (ii) What is the volume of the solid: 1341926393 1322644047 12.22844047 15.41928393
Step by Step Solution
There are 3 Steps involved in it
Get step-by-step solutions from verified subject matter experts
