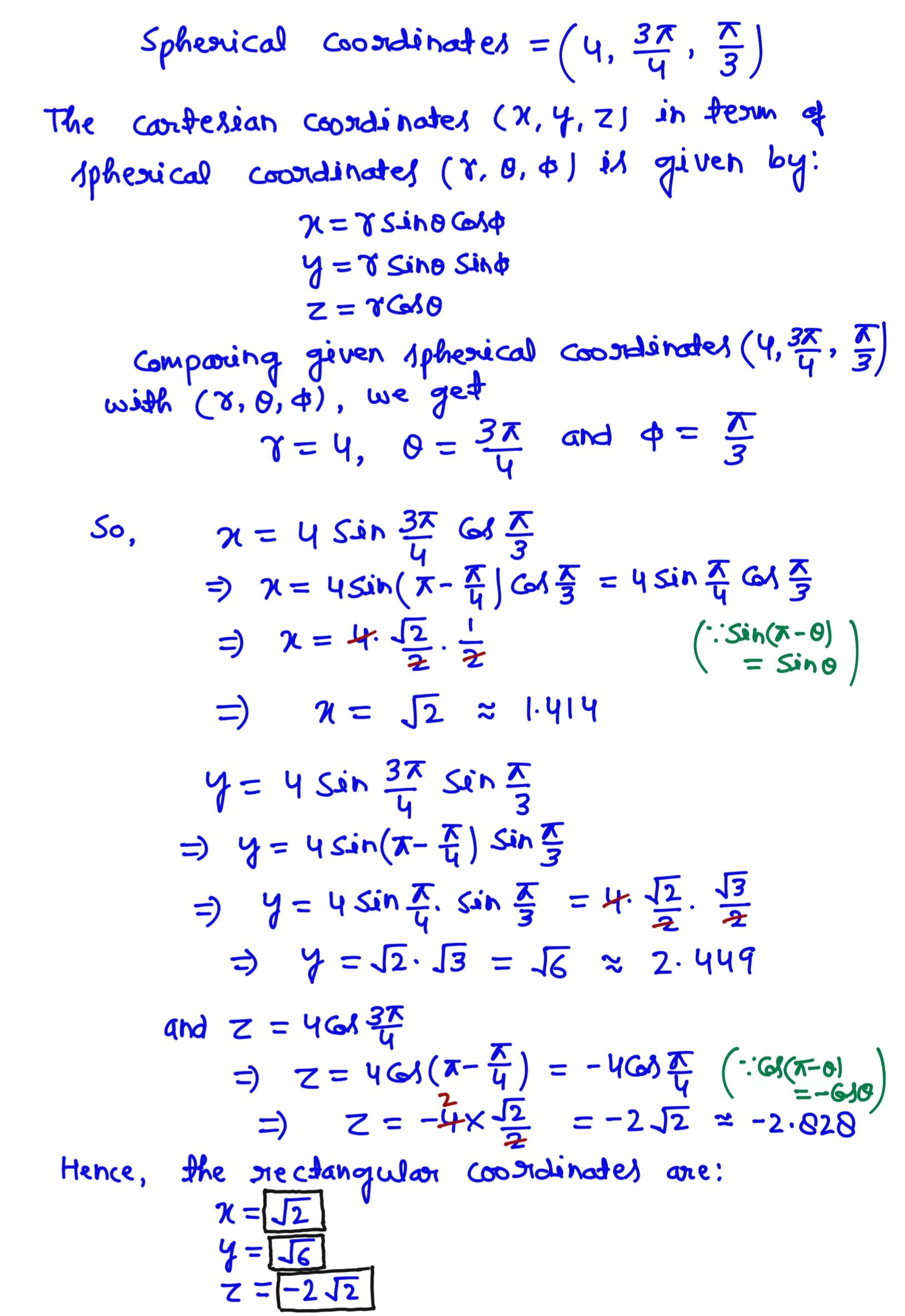
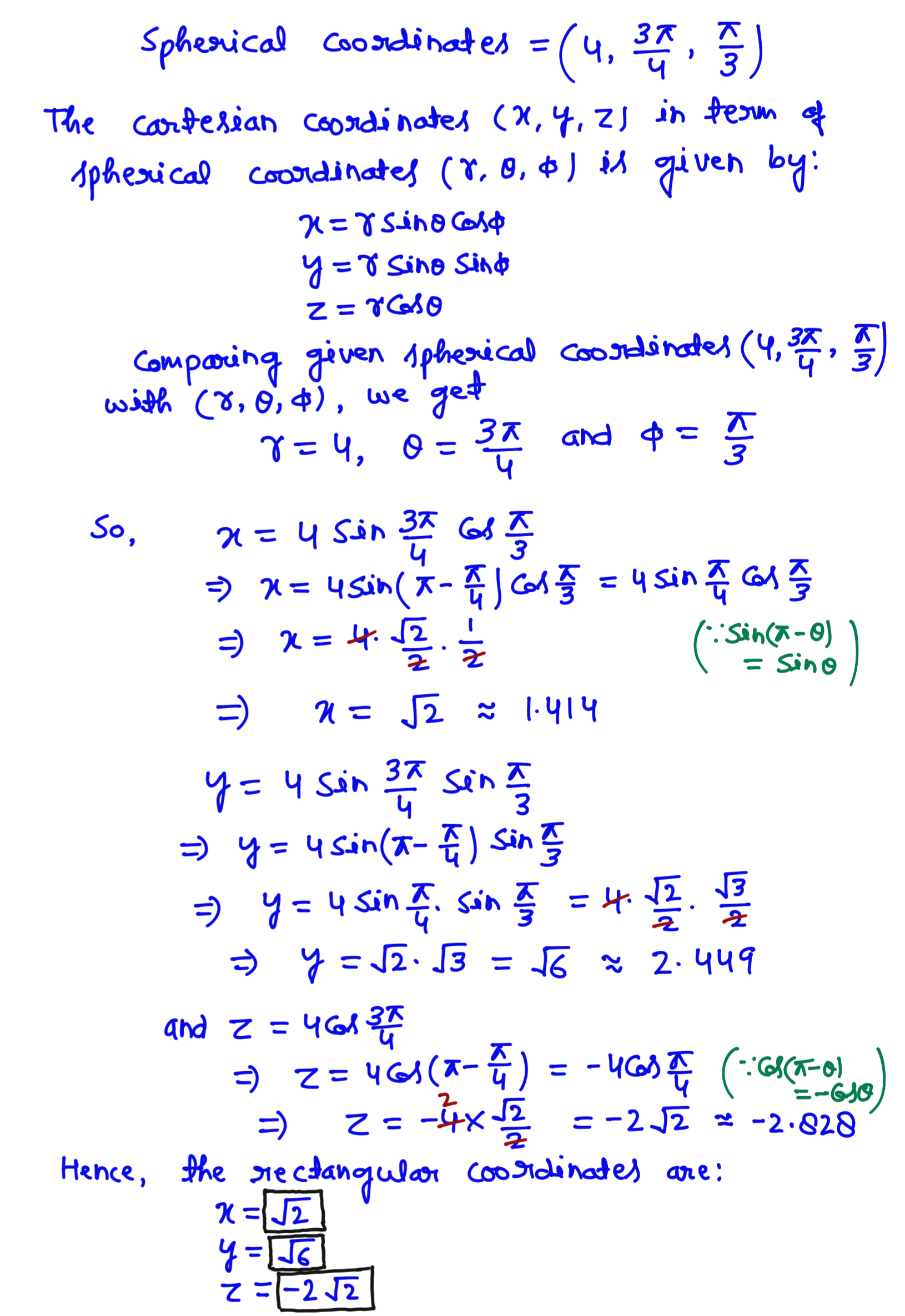
Question: What are the rectangular coordinates of the point whose spherical coordinates are (4, , , #) ? TSpherical coordinates : 3 R 3 ) The




What are the rectangular coordinates of the point whose spherical coordinates are (4, , , #) ? TSpherical coordinates : 3 R 3 ) The cartesian coordinates ( 2, 4, z1 in term of Spherical coordinates ( 7, 0, $) is given by: n = VSino Cold y = 7 Sino Sind Z = TOJO Comparing given spherical coordinates ( 4, 2, with (7 , 0, $ ) , we get 7= 4, 0= 37 and $ = w /} So , n1 = 4 5in 37 68 A -) 21 = 45in( 7-7 / cd = 4sint cost =) 2 = 4. 52. I (: Sin ( 7 -0 ) = Sino = ) n = 12 - 1.414 y = 4 sin 37 Sin T = ) y = usin(x-#) sin =) y = 4sins. Sin 1 = 4. 12. 13 y = 12. 13 = 56 - 2.449 and Z = 461 37 =) Z= 461(7-4 4 . = - 403 ( : 68 ( T - 0) 2 = - 4x 12 =-650 = ) =-212 ~ -2.828 Hence , the rectangular coordinated are : K = J2 4 =56 Z= - 2 JZ
Step by Step Solution
There are 3 Steps involved in it
Get step-by-step solutions from verified subject matter experts
