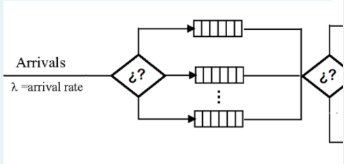
Question: What does this image represent? 0 The image represents a dispatcher deciding the Release step 0 The image depicts a dispatcher deciding the move from
What does this image represent?

0 The image represents a dispatcher deciding the Release step
0 The image depicts a dispatcher deciding the move from New to Ready/Suspend
0 The image represents a dispatcher that assigns processes to processors according to categories or priorities
Arrivals ? ? a =arrival rate
Step by Step Solution
There are 3 Steps involved in it
Get step-by-step solutions from verified subject matter experts
