Question: What else could be added to the immunity map for contect? (see rubric attached) Please complete the What it looks like section i) Goal section:
What else could be added to the immunity map for contect? (see rubric attached) Please complete the What it looks like section


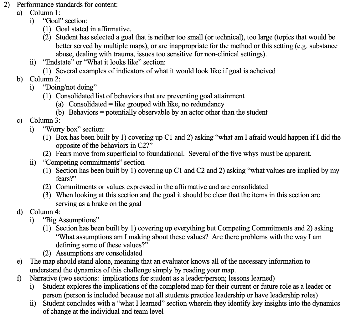
i) "Goal" section: (1) Goal stated in affirmative. (2) Student has selected a goal that is neither too small (or technical), too large (topics that would be better served by multiple maps), or are inappropriate for the method or this setting (e.g. substance abuse, dealing with trauma, issues too sensitive for non-clinical settings). ii) "Endstate" or "What it looks like" section: (1) Several examples of indicators of what it would look like if goal is acheived b) Column 2: i) "Doingot doing" (1) Consolidated list of behaviors that are preventing goal attainment (a) Consolidated = like grouped with like, no redundancy (b) Behaviors = potentially observable by an actor other than the student c) Column 3: i) "Worry box" section: (1) Box has been built by 1) covering up C1 and 2) asking "what am I afraid would happen if I did the opposite of the behaviors in C2?" (2) Fears move from superficial to foundational. Several of the five whys must be apparent. ii) "Competing commitments" section (1) Section has been built by 1) covering up C1 and C2 and 2) asking "what values are implied by my fears?" (2) Commitments or values expressed in the affirmative and are consolidated (3) When looking at this section and the goal it should be clear that the items in this section are serving as a brake on the goal d) Column 4: i) "Big Assumptions" (1) Section has been built by 1) covering up everything but Competing Commitments and 2) asking "What assumptions am I making about these values? Are there problems with the way I am defining some of these values?" (2) Assumptions are consolidated e) The map should stand alone, meaning that an evaluator knows all of the necessary information to understand the dynamics of this challenge simply by reading your map. f) Narrative (two sections: implications for student as a leader/person; lessons learned) i) Student explores the implications of the completed map for their current or future role as a leader or person (person is included because not all students practice leadership or have leadership roles) ii) Student concludes with a "what I learned" section wherein they identify key insights into the dynamics of change at the individual and team level
Step by Step Solution
There are 3 Steps involved in it
Get step-by-step solutions from verified subject matter experts
