Question: What formula would a CEO use to value an organization's stock? What formula would a CEO use to value an organization's stock? a. P0 =
What formula would a CEO use to value an organization's stock?

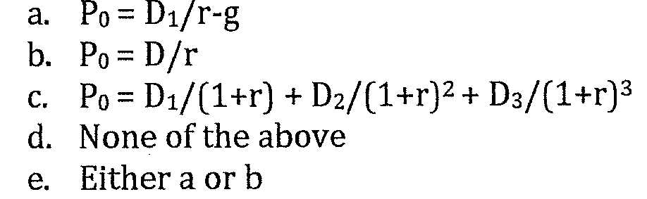
What formula would a CEO use to value an organization's stock? a. P0 = D1/r-g b. P0 = D/r c. P0 = D1/(1+r) + D2/(1+r)^2 + D3/(1+r)^3 None of the above e. Either a or b
Step by Step Solution
There are 3 Steps involved in it
1 Expert Approved Answer
Step: 1 Unlock
Question Has Been Solved by an Expert!
Get step-by-step solutions from verified subject matter experts
Step: 2 Unlock
Step: 3 Unlock
