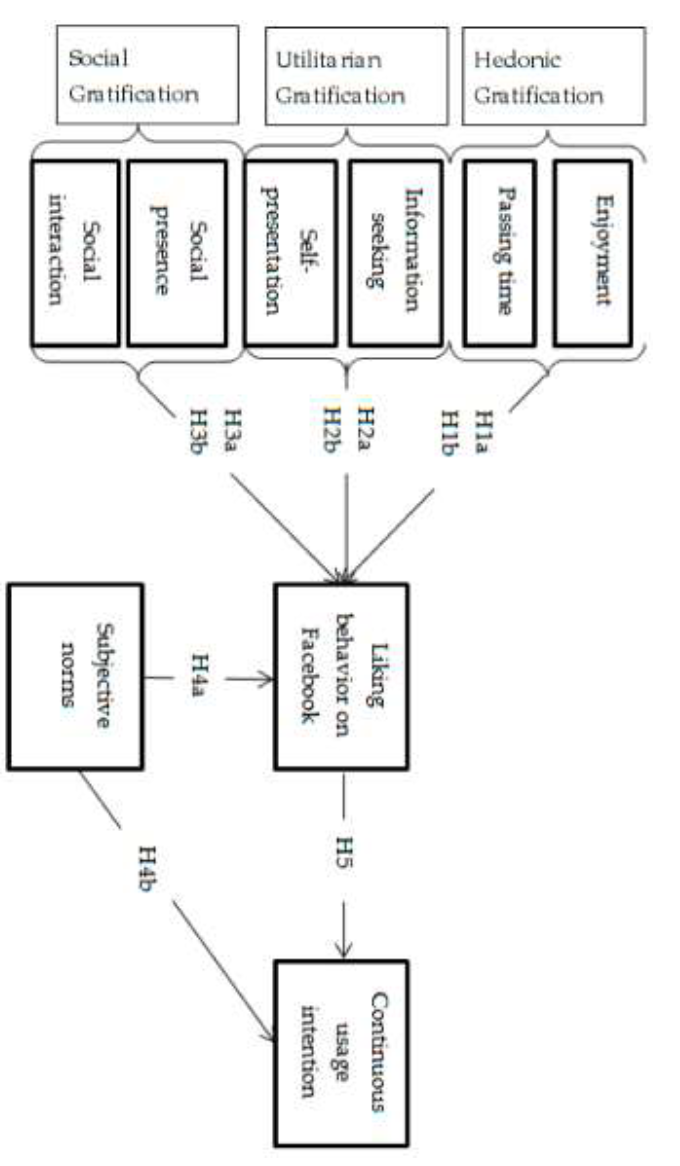
Question: What is meant by dependent variable? identify the one from the following theoretical mode;. State any 6 hypotheses from this model. Identify the mediating variable.
What is meant by dependent variable? identify the one from the following theoretical mode;. State any 6 hypotheses from this model. Identify the mediating variable.

Step by Step Solution
There are 3 Steps involved in it
Get step-by-step solutions from verified subject matter experts
