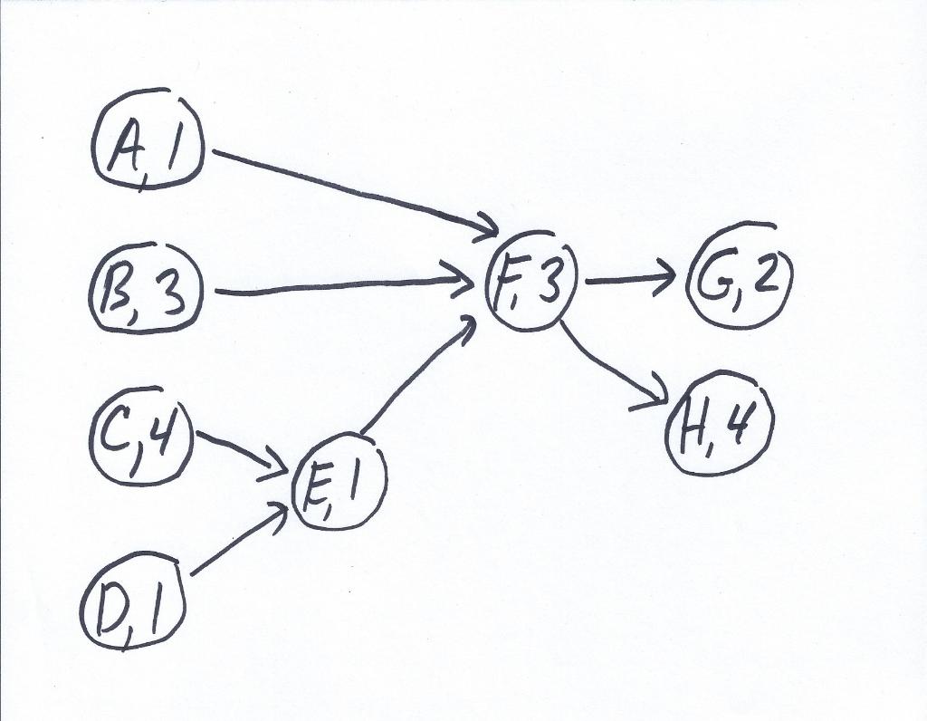
Question: What is the early start time for task F? Group of answer choices 1 2 3 4 5 AD B3 E3 G2 (C4- H,4) ED
What is the early start time for task F?
Group of answer choices
1
2
3
4
5
AD B3 E3 G2 (C4- H,4) EDStep by Step Solution
There are 3 Steps involved in it
1 Expert Approved Answer
Step: 1 Unlock
Question Has Been Solved by an Expert!
Get step-by-step solutions from verified subject matter experts
Step: 2 Unlock
Step: 3 Unlock
