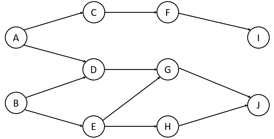
Question: What is the minimum duration for the project shown below? Activity Duration Activity Duration A 6 F 4 B 5 G 9 C 9 H
What is the minimum duration for the project shown below?
| Activity | Duration | Activity | Duration | |
| A | 6 | F | 4 | |
| B | 5 | G | 9 | |
| C | 9 | H | 7 | |
| D | 8 | I | 6 | |
| E | 6 | J | 12 |
D B
Step by Step Solution
There are 3 Steps involved in it
1 Expert Approved Answer
Step: 1 Unlock
Question Has Been Solved by an Expert!
Get step-by-step solutions from verified subject matter experts
Step: 2 Unlock
Step: 3 Unlock
