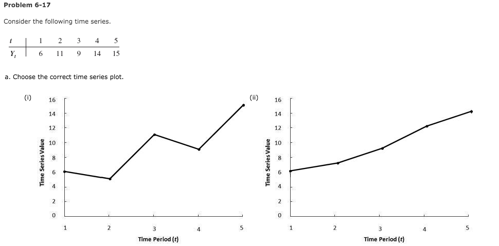
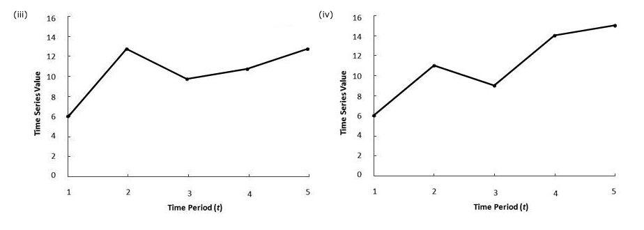
Question: What type of pattern exists in the data? Use simple linear regression analysis to find the parameters for the line that minimizes MSE for this


- What type of pattern exists in the data?
- Use simple linear regression analysis to find the parameters for the line that minimizes MSE for this time series. If required, round your answers to two decimal places. y-intercept, b0 = fill in the blank 3 Slope, b1 = fill in the blank 4 MSE = fill in the blank 5
- What is the forecast for t = 6? If required, round your answer to one decimal place.
Step by Step Solution
There are 3 Steps involved in it
1 Expert Approved Answer
Step: 1 Unlock
Question Has Been Solved by an Expert!
Get step-by-step solutions from verified subject matter experts
Step: 2 Unlock
Step: 3 Unlock
