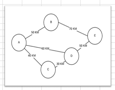
Question: Which node has the highest emissiveness based on the potential accessibility measure? B 70 KM 50 KM 50 KM 60 KM 40 KM 30 KM
Which node has the highest emissiveness based on the potential accessibility measure?


B 70 KM 50 KM 50 KM 60 KM 40 KM 30 KM City A B Population (in thousands) 400 100 200 400 700 AE
Step by Step Solution
There are 3 Steps involved in it
Get step-by-step solutions from verified subject matter experts
