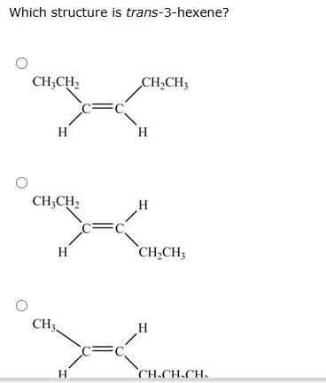
Question: . Which structure is trans-3-hexene? O CH;CH2 CH,CH; H H O CH;CH2 C- =C H CH,CH O CH3 H C-C H CH.CH-CH
.

Step by Step Solution
There are 3 Steps involved in it
1 Expert Approved Answer
Step: 1 Unlock
Question Has Been Solved by an Expert!
Get step-by-step solutions from verified subject matter experts
Step: 2 Unlock
Step: 3 Unlock
