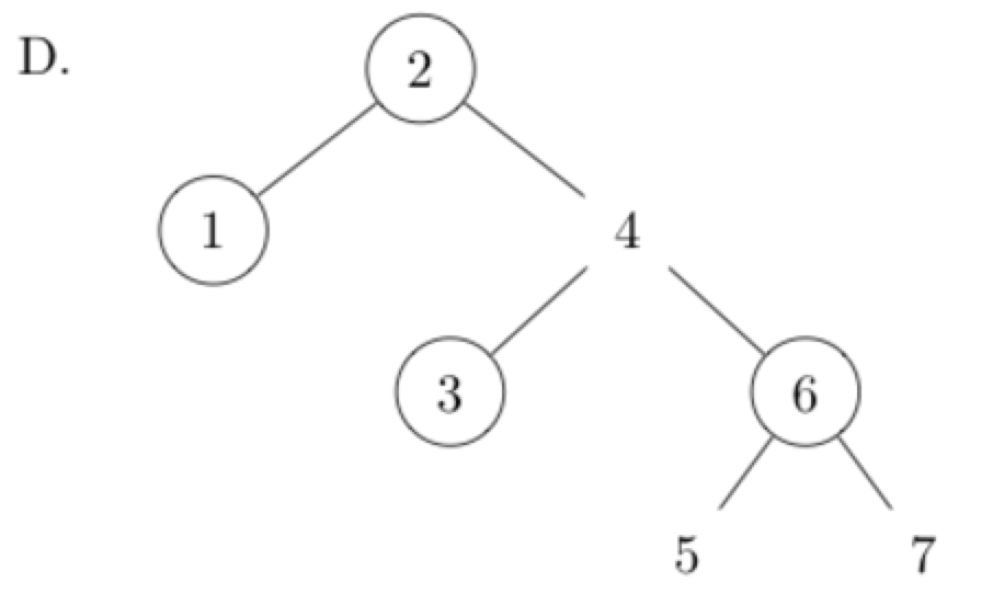
Question: Which tree would result from inserting the following values in the order in which they are written into an initially empty red-black tree Black nodes



Which tree would result from inserting the following values in the order in which they are written into an initially empty red-black tree Black nodes are circled, red nodes are not.) 2, 7, 1, 5, 3, 4, 6
Step by Step Solution
There are 3 Steps involved in it
Get step-by-step solutions from verified subject matter experts
