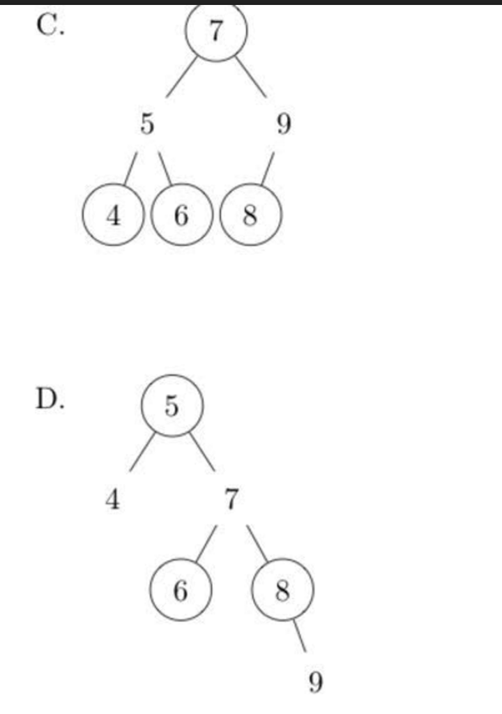
Question: Which tree would result from inserting the following values in the order in which they are written into an initially empty red-black tree (Black nodes


Which tree would result from inserting the following values in the order in which they are written into an initially empty red-black tree (Black nodes are circled, red nodes are not.) 4, 5, 8, 6, 7, 9 4 6 B
Step by Step Solution
There are 3 Steps involved in it
Get step-by-step solutions from verified subject matter experts
